精英家教网 > 高中数学 > 题目详情

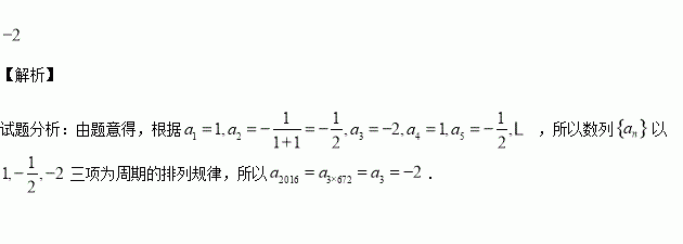
数列中,,则 .

练习册系列答案
相关习题

科目:高中数学 来源:2016届河南省商丘市高三第三次模拟文科数学试卷(解析版) 题型:填空题

已知抛物线的焦点恰好是椭圆的右焦点,且这两条曲线交点的连线过点,则该椭圆的离心率为______.

查看答案和解析>>

科目:高中数学 来源:2015-2016学年山东省高二下期中文科数学试卷(解析版) 题型:解答题

已知函数.

(1)当时,求曲线在点的切线方程;

(2)对一切恒成立,求实数的取值范围.

查看答案和解析>>

科目:高中数学 来源:2015-2016学年山东省高二下期中文科数学试卷(解析版) 题型:选择题

用反证法证明命题“设为实数,则方程至少有一个实根”时,要做的假设是( )

A.方程没有实根

B.方程至多有一个实根

C.方程至多有两个实根

D.方程恰好有两个实根

查看答案和解析>>

科目:高中数学 来源:2015-2016学年山东省高二下期中理科数学试卷(解析版) 题型:解答题

复数,若是实数,求实数的值.

查看答案和解析>>

科目:高中数学 来源:2015-2016学年山东省高二下期中理科数学试卷(解析版) 题型:选择题

若复数满足,则的取值范围是( )

A. B. C. D.

查看答案和解析>>

科目:高中数学 来源:2016届海南师大附中高三第九次月考理科数学试卷(解析版) 题型:解答题

在极坐标系中,直线的极坐标方程为,以极点为原点极轴为轴的正半轴建立平面直角坐标系,曲线的参数方程为 为参数,且).

(1)写出直线的直角坐标方程和曲线的普通方程;

(2)若直线与曲线有两个公共点,求的取值范围.

查看答案和解析>>

科目:高中数学 来源:2016届海南师大附中高三第九次月考理科数学试卷(解析版) 题型:选择题

如图所示的程序框图,若输入的分别则输出的数为( )

A. B.

C. D.

查看答案和解析>>

科目:高中数学 来源:2016届宁夏银川九中高三上第四次月考文科数学试卷(解析版) 题型:选择题

函数上单调递增,则实数a的取值范围为( )

A.(1,2) B.(2,3) C.(2,3] D.(2,+∞)

查看答案和解析>>

同步练习册答案