精英家教网 > 高中数学 > 题目详情

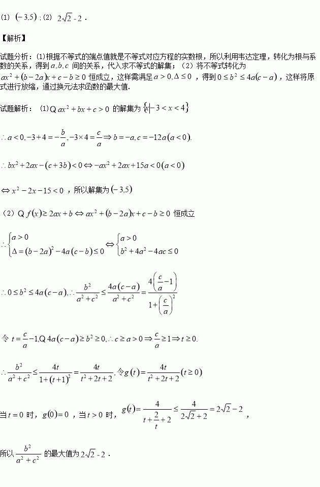
已知二次函数

(1)若的解集为,解关于的不等式.

(2)若对任意,不等式恒成立,求的最大值.

练习册系列答案
相关习题

科目:高中数学 来源:2015-2016学年河南商丘一高中高二下学期期中数学(理)试卷(解析版) 题型:选择题

若复数为虚数单位)为纯虚数,则实数的值为

A. B. C. D.

查看答案和解析>>

科目:高中数学 来源:2015-2016学年福建清流一中高二下学期文数段考三数学试卷(解析版) 题型:选择题

下列说法正确的是

A.命题“若,则”的逆命题是真命题

B.命题“”的否定是“

C.命题“”为真,则命题都为真命题

D.“”是“”的必要不充分条件

查看答案和解析>>

科目:高中数学 来源:2016届江西省高三毕业班新课程教学质监数学(文)试卷(解析版) 题型:选择题

已知双曲线以锐角的顶点为焦点,且经过点,若内角的对边分别为,且,则此双曲线的离心率为( )

A. B. C. D.

查看答案和解析>>

科目:高中数学 来源:2016届江西省高三毕业班新课程教学质监数学(文)试卷(解析版) 题型:选择题

已知函数,若,则实数的值等于( )

A.-1 B.-2 C.1 D.2

查看答案和解析>>

科目:高中数学 来源:2015-2016学年四川成都外国语学校高一下期末数学理试卷(解析版) 题型:填空题

已知为正实数,给出以下命题:①若,则的最小值是3;②若,则的最小值是4;③若,则的最小值是;④若,则的最大值是.其中正确结论的序号是.

查看答案和解析>>

科目:高中数学 来源:2015-2016学年四川成都外国语学校高一下期末数学理试卷(解析版) 题型:选择题

已知向量,且,若为正数,则的最小值是( )

A. B. C.16 D.8

查看答案和解析>>

科目:高中数学 来源:2015-2016学年辽宁庄河市高一下期末数学文试卷(解析版) 题型:填空题

已知两条直线平行,则等于_________.

查看答案和解析>>

科目:高中数学 来源:2015-2016学年河北定州中学高二下学期期末数学试卷(解析版) 题型:解答题

已知数列的各项均为正数,是数列的前n项和,且

(1)求数列的通项公式;

(2)的值.

查看答案和解析>>

同步练习册答案