精英家教网 > 高中数学 > 题目详情
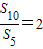
设Sn表示等比数列{an}(n∈N*)的前n项的和,已知,则=( )
A.3
B.7
C.8
D.10
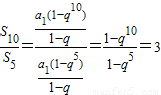
【答案】分析:先由 ,利用等比数列的前n项和公式求得q5=2.由此结合等比数列的前n项和公式可知 的值.
解答:解:∵{an}为等比数列,设公比为q,当q=1时,不符合题意;
当q≠1时,(q≠1),
∴q10-3q5+2=0,解得q5=1(舍去)或q5=2.

故选B.
点评:本题考查等比数列的性质和应用,解题时要注意等比数列前n项和公式的灵活运用.
练习册系列答案
相关习题

科目:高中数学 来源: 题型:

设Sn表示等比数列{an}(n∈N*)的前n项和,已知
S10
S5
=3
,则
S15
S5
=
 

查看答案和解析>>

科目:高中数学 来源: 题型:

设Sn表示等比数列{an}(n∈N*)的前n项的和,已知
S10
S5
=3
,则
S15
S5
=(  )

查看答案和解析>>

科目:高中数学 来源:2011-2012学年福建省厦门市翔安一中高二(上)期中数学试卷(理科)(解析版) 题型:填空题

设Sn表示等比数列{an}(n∈N*)的前n项和,已知,则=   

查看答案和解析>>

科目:高中数学 来源:2009-2010学年江苏省连云港市东海高级中学高三(上)期中数学试卷(解析版) 题型:填空题

设Sn表示等比数列{an}(n∈N*)的前n项和,已知,则=   

查看答案和解析>>

科目:高中数学 来源:2008年江苏省苏锡常镇四市高考数学一模试卷(解析版) 题型:填空题

设Sn表示等比数列{an}(n∈N*)的前n项和,已知,则=   

查看答案和解析>>

同步练习册答案