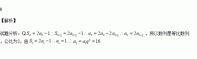
精英家教网 > 高中数学 > 题目详情

已知数列的前项和为,且,则 ( )

A. B. C. D.

练习册系列答案
相关习题

科目:高中数学 来源:2015-2016学年河北省高一3月月考文科数学试卷(解析版) 题型:填空题

关于直线对称的圆的方程是

查看答案和解析>>

科目:高中数学 来源:2015-2016学年安徽省国科大附中高一下期中数学试卷(解析版) 题型:填空题

若程序框图如右图所示,则该程序运行后输出的值是 .

查看答案和解析>>

科目:高中数学 来源:2015-2016学年湖北省黄石市高二下期中文科数学试卷(解析版) 题型:解答题

已知曲线的极坐标方程是,直线的参数方程是为参数).

(Ⅰ)将曲线的极坐标方程化为直角坐标方程;

(Ⅱ)设直线轴的交点是是曲线上一动点,求的最大值

查看答案和解析>>

科目:高中数学 来源:2015-2016学年湖北省黄石市高二下期中文科数学试卷(解析版) 题型:选择题

在平面直角坐标系中,点P是直线上一动点,点F(1,0),点Q为PF的中点,点M满足,过点M作圆的切线,切点分别A,B,则|AB|的最小值为( )

A. 3 B. C. D.

查看答案和解析>>

科目:高中数学 来源:2015-2016学年湖北省黄石市高二下期中文科数学试卷(解析版) 题型:选择题

已知为虚数单位,则复数= ( )

A. B. C. D.

查看答案和解析>>

科目:高中数学 来源:2015-2016学年湖北省黄石市高二下期中理科数学试卷(解析版) 题型:解答题

已知函数.

(Ⅰ)求的最小正周期:

(Ⅱ)求在区间上的最大值和最小值.

查看答案和解析>>

科目:高中数学 来源:2015-2016学年湖北省襄阳市四校高一下学期期中联考数学试卷(解析版) 题型:解答题

在数列中,=,其前项和为,且

(1)求

(2)设,数列满足,数列的前项和为,求使成立的最小整数的值.

查看答案和解析>>

科目:高中数学 来源:2015-2016学年河南省高一下期中数学试卷(解析版) 题型:选择题

在△ABC中,已知a2=b2+bc+c2,则角A为( )

A. B. C. D.

查看答案和解析>>

同步练习册答案