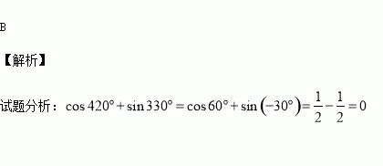
精英家教网 > 高中数学 > 题目详情

cos420°+sin330°等于

A.1 B.0 C. D.﹣1

练习册系列答案
相关习题

科目:高中数学 来源:2015-2016学年黑龙江伊春带岭高级中学高二下期中数学文试卷(解析版) 题型:选择题

已知函数,则不等式的解集为

A. B.

C. D.

查看答案和解析>>

科目:高中数学 来源:2015-2016学年山东曲阜师大附中高二下学期期中数学(理)试卷(解析版) 题型:填空题

为虚数单位,若复数

查看答案和解析>>

科目:高中数学 来源:2015-2016学年河北承德八中高一下学期期中数学试卷(解析版) 题型:填空题

已知ABCD为矩形,AB=3,BC=2,在矩形ABCD内随机取一点P,点P到矩形四个顶点的距离

都大于1的概率为____________

查看答案和解析>>

科目:高中数学 来源:2015-2016学年河北承德八中高一下学期期中数学试卷(解析版) 题型:选择题

根据如下样本数据

x

3

4

5

6

7

8

y

4.0

2.5

?0.5

0.5

?2.0

?3.0

得到的回归方程为,则

A. B. C. D.

查看答案和解析>>

科目:高中数学 来源:2015-2016学年福建晋江平山中学高一下学期期中数学(理)试卷(解析版) 题型:解答题

(1)画出散点图.观察散点图,说明两个变量有怎样的相关性。

(2)用最小二乘法计算利润额y对销售额x的回归直线方程.

(3)当销售额为4(千万元)时,估计利润额的大小.

查看答案和解析>>

科目:高中数学 来源:2015-2016学年福建晋江平山中学高一下学期期中数学(理)试卷(解析版) 题型:填空题

某地区打的士收费办法如下:不超过2公里收7元,超过2公里时,每车收燃油附加费1元,并且超过的里程每公里收2.6元,(其他因素不考虑)计算收费标准的框图如图所示,则①处应填 .

查看答案和解析>>

科目:高中数学 来源:2015-2016学年福建晋江平山中学高二下学期期中数学(文)试卷(解析版) 题型:解答题

观察下表:

1,

2,3,

4,5,6,7,

8,9,10,11,12,13,14,15,

问:(1)此表第n行的最后一个数是多少?

(2)此表第n行的各个数之和是多少?

(3)2008是第几行的第几个数?

查看答案和解析>>

科目:高中数学 来源:2016届云南省高三第二次统一检测数学(文)试卷(解析版) 题型:选择题

设等差数列的前项和为,若, 则( )

A. B. C. D.

查看答案和解析>>

同步练习册答案