精英家教网 > 高中数学 > 题目详情

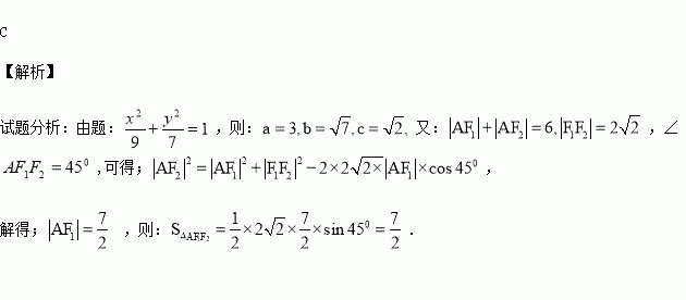
是椭圆的两个焦点,为椭圆上一点,且∠,则Δ的面积为( )

A、 B、 C、 D、

练习册系列答案
相关习题

科目:高中数学 来源:2016届广西柳州市高三下4月模拟理科数学试卷(解析版) 题型:填空题

满足约束条件,则目标函数的最小值是 .

查看答案和解析>>

科目:高中数学 来源:2015-2016学年广东省惠州市高二下期中理科数学试卷(解析版) 题型:填空题

已知矩形的顶点都在半径为的球的球面上,且,棱锥的体积为,则= ________

查看答案和解析>>

科目:高中数学 来源:2015-2016学年安徽省高二下期中文科数学试卷(解析版) 题型:解答题

已知函数的图象过点(-1,-6),且函数 的图象关于y轴对称.

(1)求的值及函数的单调区间;

(2)若函数在(-1,1)上单调递减,求实数的取值范围.

查看答案和解析>>

科目:高中数学 来源:2015-2016学年安徽省高二下期中文科数学试卷(解析版) 题型:填空题

函数在点处的切线方程是

查看答案和解析>>

科目:高中数学 来源:2015-2016学年安徽省高二下期中文科数学试卷(解析版) 题型:选择题

双曲线的渐近线方程为( )

A、 B、 C、 D、

查看答案和解析>>

科目:高中数学 来源:2015-2016学年山东省高二下4月月考文科数学试卷(解析版) 题型:解答题

下表是某设备的使用年限和所支出的维修费用(万元)的几组对照数据

(1)请根据上表提供的数据,用最小二乘法求出关于的线性回归方程

(2)根据(1)求出的线性回归方程,预测该设备使用8年时,维修费用是多少?

(参考数值:

查看答案和解析>>

科目:高中数学 来源:2015-2016学年山东省高二下4月月考文科数学试卷(解析版) 题型:选择题

用反证法证明命题“设为实数,则函数至少有一个极值点”时,要作的假设是

A.函数恰好有两个极值点

B.函数至多有两个极值点

C.函数没有极值点

D.函数至多有一个极值点

查看答案和解析>>

科目:高中数学 来源:2015-2016山西省高二5月模块诊断数学(文)卷(解析版) 题型:选择题

已知集合,则( )

A. B. C. D.

查看答案和解析>>

同步练习册答案