精英家教网 > 高中数学 > 题目详情
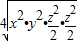
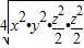
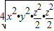
已知正数x,y,z满足x2+y2+z2=1,则的最小值为( )
A.2
B.4
C.
D.
【答案】分析:由题意可得1=x2+y2+z2+z2≥4,从而有2xyz2,当且仅当x=y=z取等号.即可求出答案.
解答:解:∵正数x,y,z满足x2+y2+z2=1,
∴1=x2+y2+z2+z2≥4

∴x2•y2
∴2xyz2,当且仅当x=y=z取等号.
的最小值为4,
故选B.
点评:本小题主要考查基本不等式的应用、配凑法等基础知识,考查运算求解能力,考查化归与转化思想.属于基础题.
练习册系列答案
相关习题

科目:高中数学 来源: 题型:

已知大于1的正数x,y,z满足x+y+z=3
3

(1)求证:
x2
x+2y+3z
+
y2
y+2z+3x
+
z2
z+2x+3y
3
2

(2)求
1
log3x+log3y
+
1
log3y+log3z
+
1
log3z+log3x
的最小值.

查看答案和解析>>

科目:高中数学 来源: 题型:

已知正数x、y、z满足x+y+z=1,则
1
x
+
4
y
+
9
z
的最小值为
36
36

查看答案和解析>>

科目:高中数学 来源:设计选修数学-4-5人教A版 人教A版 题型:044

已知正数x,y,z满足x+y+z=xyz,且不等式λ恒成立,求λ的取值范围.

查看答案和解析>>

科目:高中数学 来源:不详 题型:解答题

已知大于1的正数x,y,z满足x+y+z=3
3

(1)求证:
x2
x+2y+3z
+
y2
y+2z+3x
+
z2
z+2x+3y
3
2

(2)求
1
log3x+log3y
+
1
log3y+log3z
+
1
log3z+log3x
的最小值.

查看答案和解析>>

科目:高中数学 来源: 题型:

已知正数x、y、z满足x+y+z=xyz,且不等式≤λ恒成立,求λ的范围.

查看答案和解析>>

同步练习册答案