精英家教网 > 高中数学 > 题目详情

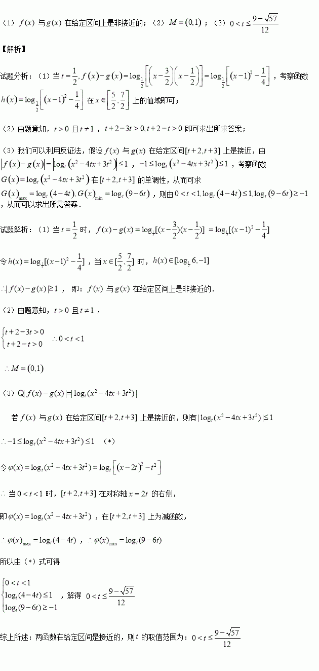
(本大题满分12分)对于在区间上有意义的两个函数,如果对任意的,均有,则称上是接近的,否则称上是非接近的.现在有两个函数,现给定区间

(1)若,判断是否在给定区间上接近;

(2)若在给定区间上都有意义,求的取值的集合

(3)在(2)的条件下,是否存在,使得在给定区间上是接近的;若存在,求的取值范围;若不存在,请说明理由.

练习册系列答案
相关习题

科目:高中数学 来源:2016届辽宁省抚顺市高三上学期第一次模拟文科数学试卷(解析版) 题型:解答题

(本小题满分12分)某大学餐饮中心为了了解新生的饮食习惯,在全校一年级学生中进行了抽样调查,调 查结果如下表所示:

(Ⅰ)根据表中数据,问是否有95%的把握认为“南方学生和北方学生在选用甜品的饮食习惯方面有差异”;

(Ⅱ)已知在被调查的北方学生中有5名数学系的学生,其中2名喜欢甜品,现在从这5名学生中随机抽取3人,求至多有1人喜欢甜品的概率.

附:

查看答案和解析>>

科目:高中数学 来源:2015-2016学年吉林省高一上学期期中数学试卷(解析版) 题型:选择题

下列函数是相同函数的是

(A)

(B)

(C)

(D)

查看答案和解析>>

科目:高中数学 来源:2015-2016学年湖南省常德市高一上学期期中数学试卷(解析版) 题型:解答题

(共12分)已知函数,其中

(1)若,求满足的取值范围;

(2)求关于的不等式的解集.

查看答案和解析>>

科目:高中数学 来源:2015-2016学年湖南省常德市高一上学期期中数学试卷(解析版) 题型:选择题

已知函数的图像关于直线对称,则的值为( )

A.4 B.2 C.1 D.0

查看答案和解析>>

科目:高中数学 来源:2015-2016学年湖北省高一上学期期中数学试卷(解析版) 题型:填空题

已知是定义在上的奇函数,当时,,则的值为

查看答案和解析>>

科目:高中数学 来源:2015-2016学年湖北省高一上学期期中数学试卷(解析版) 题型:选择题

若幂函数的图像过点,则的值为( )

A.6 B.9 C.16 D.27

查看答案和解析>>

科目:高中数学 来源:2015-2016学年福建省高一上学期期中数学试卷(解析版) 题型:选择题

函数)当时,恒有,有( )

A.上是减函数

B.上是减函数

C.上是增函数

D.上是增函数

查看答案和解析>>

科目:高中数学 来源:2016届江西省新余市高三第四次模拟文科数学试卷(解析版) 题型:选择题

已知点所在平面内一点,若,则的面积比为( )

A. B. C. D.

查看答案和解析>>

同步练习册答案