精英家教网 > 高中数学 > 题目详情
已知椭圆C的中心在原点,焦点在x轴上,它的一个顶点恰好是抛物线的焦点,离心率等于
(1)求椭圆C的方程;
(2)过椭圆C的右焦点F作直线l交椭圆C于A、B两点,交y轴于M点,若,求证:λ12为定值.
解:(1)设椭圆C的方程为 
则由题意知b=1.
 .
∴a2=5
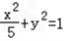
∴椭圆C的方程为  .
(2)设A、B、M点的坐标分别为A(x1,y1),B(x2,y2),M(0,y0).
又易知F点的坐标为(2,0).
显然直线l存在的斜率,
设直线l的斜率为k,则直线l的方程是y=k(x﹣2).
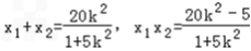
将直线l的方程代入到椭圆C的方程中,消去y并整理得
(1+5k2)x2﹣20k2x+20k2﹣5=0.
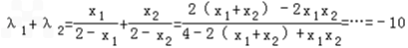
∴ 
又∵ .∴ .
练习册系列答案
相关习题

科目:高中数学 来源:山东省济宁市2012届高二下学期期末考试理科数学 题型:解答题

(本小题满分14分) 已知在平面直角坐标系xoy中的一个椭圆,它的中心在原

点,左焦

(1)求该椭圆的标准方程;

(2)若P是椭圆上的动点,求线段PA中点M的轨迹方程;

(3)过原点O的直线交椭圆于点B、C,求△ABC面积的最大值。

 

查看答案和解析>>

科目:高中数学 来源:2012届山东省高二下学期期末考试理科数学 题型:解答题

(本小题满分14分) 已知在平面直角坐标系xoy中的一个椭圆,它的中心在原

(1)求该椭圆的标准方程;

(2)若P是椭圆上的动点,求线段PA中点M的轨迹方程;

(3)过原点O的直线交椭圆于点B、C,求△ABC面积的最大值。

 

查看答案和解析>>

同步练习册答案