精英家教网 > 高中数学 > 题目详情

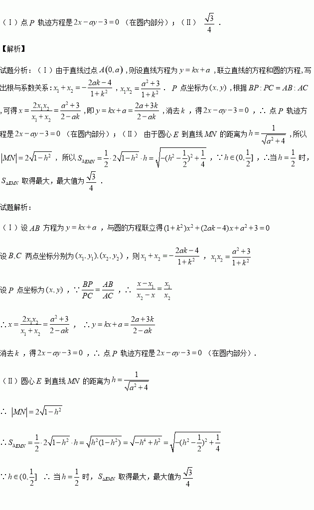
过点作直线与圆交于两点,在线段上取满足的点.

(Ⅰ)求点的轨迹方程;

(Ⅱ)设直线与圆交于两点,求为圆心)面积的最大值.

练习册系列答案
相关习题

科目:高中数学 来源:2016届四川省高三下三诊考试文科数学试卷(解析版) 题型:解答题

函数.

(Ⅰ)当时,求的单调区间;

(Ⅱ)若,对任意的恒成立,求实数b的取值范围.

查看答案和解析>>

科目:高中数学 来源:2016届四川省高三下三诊考试理科数学试卷(解析版) 题型:选择题

已知为虚数单位,复数满足,复数所对应的点在( )

A.第一象限 B.第二象限

C.第三象限 D.第四象限

查看答案和解析>>

科目:高中数学 来源:2016届山西省高考考前质量检测三理科数学试卷(解析版) 题型:选择题

执行如图所示的程序框图,则输出的的值是( )

A. B. C. D.

查看答案和解析>>

科目:高中数学 来源:2016届山西省高考考前质量检测三理科数学试卷(解析版) 题型:选择题

,则( )

A. B. C. D.

查看答案和解析>>

科目:高中数学 来源:2016届河南省商丘市高三第三次模拟文科数学试卷(解析版) 题型:填空题

已知抛物线的焦点恰好是椭圆的右焦点,且这两条曲线交点的连线过点,则该椭圆的离心率为______.

查看答案和解析>>

科目:高中数学 来源:2016届河南省商丘市高三第三次模拟文科数学试卷(解析版) 题型:选择题

已知抛物线与双曲线的一个交点为为抛物线的焦点,若,则该双曲线的渐近线方程为( )

A. B. C. D.

查看答案和解析>>

科目:高中数学 来源:2015-2016学年河北石家庄辛集中学高二下期中理数学卷(解析版) 题型:选择题

把座位编号为的6张电影票分给甲、乙、丙、丁四个人,每人至少分一张,至多分两张,且分得的两张票必须是连号,那么不同分法种数为( )

A.240 B. 144 C.196 D. 288

查看答案和解析>>

科目:高中数学 来源:2015-2016学年山东省高二下期中理科数学试卷(解析版) 题型:解答题

复数,若是实数,求实数的值.

查看答案和解析>>

同步练习册答案