精英家教网 > 高中数学 > 题目详情

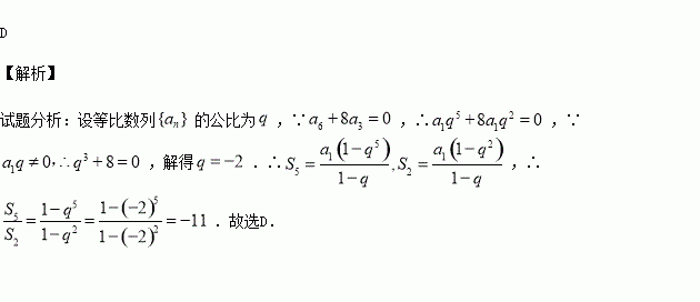
设Sn为等比数列的前n项和,,则= ( )

A.11 B.5 C.-8 D.-11

练习册系列答案
相关习题

科目:高中数学 来源:2015-2016学年山西省高二上期中文科数学试卷(解析版) 题型:选择题

截一个几何体,各个截面都是圆面,则这个几何体一定是

A.圆柱 B.圆锥 C.球 D.圆台

查看答案和解析>>

科目:高中数学 来源:2015-2016学年湖北孝感高中高二上学期期中理科数学试卷(解析版) 题型:填空题

回文数是指从左到右读与从右到左都是一样的正整数.如121,94249是回文数,则4位回文数有 个.

查看答案和解析>>

科目:高中数学 来源:2015-2016学年安徽省蚌埠市高一上学期期中数学试卷(解析版) 题型:选择题

已知函数,若直线与函数有三个不同交点的横坐标依次为,且,则的取值范围是( )

A. B. C. D.

查看答案和解析>>

科目:高中数学 来源:2016届宁夏吴忠中学高三上第四次月考文科数学试卷(解析版) 题型:选择题

在等差数列中,已知,则该数列前11项和( )

A.58 B.88 C.143 D.176

查看答案和解析>>

科目:高中数学 来源:2016届黑龙江牡丹江一中高三10月月考文数学试卷(解析版) 题型:选择题

已知,且,若,则的大小关系是( )

A. B. C. D.无法确定

查看答案和解析>>

科目:高中数学 来源:2016届贵州省高三上学期第三次月考理科数学试卷(解析版) 题型:选择题

已知是虚数单位,,则“”是“”的( )

A.充分不必要条件 B.必要不充分条件

C.充分必要条件 D.既不充分也不必要条件

查看答案和解析>>

科目:高中数学 来源:2015-2016学年山东省高一上学期期中考试数试卷(解析版) 题型:解答题

某种商品在天内每件的销售价格(元)与时间(天)的函数关系用如图表示,该商品在天内日销售量(件)与时间(天)之间的关系如下表:

(1)根据提供的图象(如图),写出该商品每件的销售价格与时间的函数关系式;

(2)根据表提供的数据,写出日销售量与时间的一次函数关系式;

(3)求该商品的日销售金额的最大值,并指出日销售金额最大的一天是天中的第几天.(日销售金额每件的销售价格日销售量)

查看答案和解析>>

科目:高中数学 来源:2015-2016学年广东汕头市高二10月月考数学卷(解析版) 题型:填空题

如图,四棱锥P ?ABCD中,底面ABCD为矩形,PA⊥平面ABCD,若AP=1,AD=,三棱锥P ? ABD的体积V=,则A到平面PBC的距离是

查看答案和解析>>

同步练习册答案