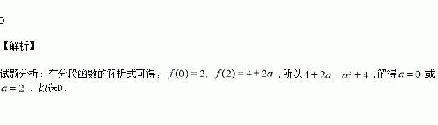
精英家教网 > 高中数学 > 题目详情

已知函数,若,则实数( )

A.0 B.2 C. D.0或2

练习册系列答案
相关习题

科目:高中数学 来源:2015-2016学年湖北宜昌一中高二上学期期中理科数学试卷(解析版) 题型:选择题

两条直线互相垂直,则的值是

A. B. C. D.

查看答案和解析>>

科目:高中数学 来源:2015-2016年重庆巴蜀中学高一上学期10月月考数学试卷(解析版) 题型:填空题

已知函数f(x)=,且f(x)在R上递减,则实数a的取值范围

查看答案和解析>>

科目:高中数学 来源:2015-2016学年湖北武汉二中高二上学期期中文科数学试卷(解析版) 题型:选择题

已知命题p:|x-1|≥2,命题q:x∈Z,若“p且q”与“非q”同时为假命题,则满足条件的x为( )

A.{x|x≥3或x≤-1,x∈Z}

B.{x|-1≤x≤3,x∈Z}

C.{0,1,2}

D.{-1,0,1,2,3}

查看答案和解析>>

科目:高中数学 来源:2015-2016学年湖北荆州中学高一上学期期中文科数学试卷(解析版) 题型:解答题

(本小题12分)已知函数满足:对于任意都有,且时,

(1)证明函数是奇函数;

(2)判断并证明函数上的单调性,然后求函数上的最值;

(3)解不等式:

查看答案和解析>>

科目:高中数学 来源:2015-2016学年湖北荆州中学高一上学期期中理科数学试卷(解析版) 题型:选择题

函数的图象关于( )

A.y轴对称 B.直线y=-x对称

C.坐标原点对称 D.直线y=x对称

查看答案和解析>>

科目:高中数学 来源:2015-2016学年湖北荆州中学高二上学期期中文科数学试卷(解析版) 题型:填空题

已知点,且,则实数的值是( ).

A.或4 B.或2 C.3或 D.6或

查看答案和解析>>

科目:高中数学 来源:2016届广东省惠州市高三上学期第二次调研考试理科数学试卷(解析版) 题型:选择题

已知双曲线的一条渐近线为,则双曲线的离心率等于( )

(A) (B) (C) (D)

查看答案和解析>>

科目:高中数学 来源:2014-2015学年浙江省等三校高一上学期期中考试数学试卷(解析版) 题型:填空题

函数的定义域是

查看答案和解析>>

同步练习册答案