精英家教网 > 高中数学 > 题目详情

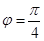
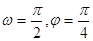
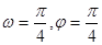
已知函数(其中),其部分图象如图所示,则(   )

A.                  B.

C.                  D.

 

【答案】

A

【解析】

试题分析:观察函数的图象知,

,将点(1,1)代入得,

,所以,,故选A.

考点:函数图象和性质

 

练习册系列答案
相关习题

科目:高中数学 来源: 题型:

已知函数f(x)=·,其中=(sinωx+cosωx,cosωx), =(cosωx-sinωx,2sinωx)(ω>0).若f(x)相邻两对称轴间的距离不小于.

(1)求ω的取值范围;

(2)在△ABC中,a、b、c分别是角A、B、C的对边,a=,b+c=3(b>c),当ω最大时,f(A)=1,求边b,c的长.

查看答案和解析>>

科目:高中数学 来源:2012-2013学年浙江省五校联盟高三下学期第一次联考文科数学试卷(解析版) 题型:解答题

已知,函数,(其中e是自然对数的底数,为常数),

(1)当时,求的单调区间与极值;

(2)是否存在实数,使得的最小值为3. 若存在,求出的值,若不存在,说明理由。

 

查看答案和解析>>

科目:高中数学 来源:2010-2011学年广东省等三校高三2月月考数学文卷 题型:解答题

(本小题满分14分)

已知函数.(其中为自然对数的底数),

(Ⅰ)设曲线处的切线与直线垂直,求的值;

(Ⅱ)若对于任意实数≥0,恒成立,试确定实数的取值范围;

(Ⅲ)当时,是否存在实数,使曲线C:在点

处的切线与轴垂直?若存在,求出的值;若不存在,请说明理由.

 

查看答案和解析>>

科目:高中数学 来源:2010-2011学年天津市高三十校联考理科数学 题型:解答题

.(14分)已知函数,其中

(Ⅰ)若是函数的极值点,求实数的值

(Ⅱ)若对任意的为自然对数的底数)都有成立,求实数的取值范围

 

查看答案和解析>>

科目:高中数学 来源:2014届云南省高一期末考试数学试卷 题型:解答题

已知函数(其中)的周期为π,且图象上一个最低点为

 (1)求的解析式;

(2)当时,求的最值

 

查看答案和解析>>

同步练习册答案