精英家教网 > 高中数学 > 题目详情

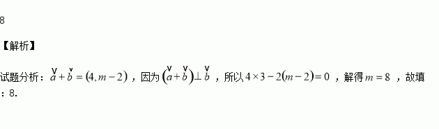
已知向量,则____________.

练习册系列答案
相关习题

科目:高中数学 来源:2017届宁夏高三上学期月考一数学(理)试卷(解析版) 题型:解答题

中,.

(I)求AB的长;

(II)求的值.

查看答案和解析>>

科目:高中数学 来源:2017届四川绵阳中学高三上学期入学考试数学(理)试卷(解析版) 题型:解答题

在直角坐标系中, 以原点为极点, 轴的正半轴为极轴建立极坐标系, 已知曲线,过点的直线为参数) 与曲线相交于两点.

(1)求曲线的直角坐标方程与直线的普通方程;

(2)若成等比数列, 求实数的值.

查看答案和解析>>

科目:高中数学 来源:2017届四川绵阳中学高三上学期入学考试数学(理)试卷(解析版) 题型:选择题

设集合,则( )

A. B. C. D.

查看答案和解析>>

科目:高中数学 来源:2017届新疆生产建设兵团二中高三上月考一数学(文)试卷(解析版) 题型:解答题

已知函数的定义域为函数上是减函数,若“”为真,“”为假,试求实数的取值范围.

查看答案和解析>>

科目:高中数学 来源:2017届新疆生产建设兵团二中高三上月考一数学(文)试卷(解析版) 题型:选择题

函数的零点个数为( )

A.1 B.2 C.3 D.4

查看答案和解析>>

科目:高中数学 来源:2017届新疆生产建设兵团二中高三上月考一数学(文)试卷(解析版) 题型:选择题

已知集合,则( )

A. B. C. D.

查看答案和解析>>

科目:高中数学 来源:2016-2017学年辽宁六校协作体高二期初考试数学试卷(解析版) 题型:选择题

,则( )

A. B. C. D.

查看答案和解析>>

科目:高中数学 来源:2015-2016学年广东汕头市高二下学期期末数学(文)试卷(解析版) 题型:选择题

已知向量,又,则等于

A. B. C.1 D.2

查看答案和解析>>

同步练习册答案