精英家教网 > 高中数学 > 题目详情

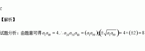
已知等比数列{an}中,a1,a99为方程x2-10x+4=0的两根,则a20·a50·a80的值为( )

A.8 B.8 C.±8 D.±64

练习册系列答案
相关习题

科目:高中数学 来源:2015-2016学年山东省高一上学期期中模块考试数学试卷(解析版) 题型:解答题

已知函数

(1)若函数在区间[-1,1]上存在零点,求实数a的取值范围;

(2)当a=0时,若对任意的,总存在,使成立,求实数m的取值范围.

查看答案和解析>>

科目:高中数学 来源:2015-2016学年吉林省扶余市高二上学期期中考试文科数学试卷(解析版) 题型:解答题

设x>—1,求的最小值。

查看答案和解析>>

科目:高中数学 来源:2015-2016学年福建省高一上学期期中考试数学试卷(解析版) 题型:填空题

若函数 )的值域是 ,则实数

取值范围是

查看答案和解析>>

科目:高中数学 来源:2015-2016学年福建省高二上学期期中考试文科数学试卷(解析版) 题型:选择题

已知数列{an}满足a1= 2,an+1-an=(n∈N+),则此数列的通项an等于( )

A.n2+1 B.n+1 C.1-n D.3-n

查看答案和解析>>

科目:高中数学 来源:2014-2015学年上海市高二下学期期末考试数学试卷(解析版) 题型:填空题

已知,若直线与射线为端点)有交点,则实数的取值范围是

查看答案和解析>>

科目:高中数学 来源:2015-2016学年重庆市高二上第一次月考理科数学试卷(解析版) 题型:选择题

设集合,则( )

A. B. C. D.

查看答案和解析>>

科目:高中数学 来源:2015-2016学年辽宁省大连市高二上期中理科数学试卷(解析版) 题型:选择题

双曲线的离心率为

(A) (B) (C) (D)

查看答案和解析>>

科目:高中数学 来源:2015-2016学年广东省普宁市高二上期中文科数学试卷(解析版) 题型:选择题

阅读如图所示的程序框图,运行相应的程序,如果输入某个正整数后,输出的,那么的值为( )

A.3 B.4 C.5 D.6

查看答案和解析>>

同步练习册答案