精英家教网 > 高中数学 > 题目详情

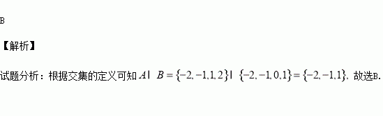
已知集合,则( )

A. B. C. D.

练习册系列答案
相关习题

科目:高中数学 来源:2016届云南省高三第八次考前训练文科数学试卷(解析版) 题型:选择题

设复数满足,则( )

A. B. C. D.

查看答案和解析>>

科目:高中数学 来源:2015-2016学年江西省高一下期中数学试卷(解析版) 题型:选择题

中,,则此三角形解的个数为( )

A. B. C. D.不确定

查看答案和解析>>

科目:高中数学 来源:2016届海南省高三考前模拟十二文科数学试卷(解析版) 题型:填空题

已知等比数列的公比为正数,且,则公比

查看答案和解析>>

科目:高中数学 来源:2016届海南省高三考前模拟十二文科数学试卷(解析版) 题型:选择题

这四个数中随机取出两个数组成一个两位数,则组成的两位数是的倍数的概率是( )

A. B. C. D.

查看答案和解析>>

科目:高中数学 来源:2016届海南省高三考前模拟十二理科数学试卷(解析版) 题型:解答题

已知椭圆 的左、右焦点分别为,直线与椭圆的—个交点为,点是椭圆上的任意—点,延长交椭圆于点,连接.

(1)求椭圆的方程;

(2)求的内切圆的最大周长.

查看答案和解析>>

科目:高中数学 来源:2016届海南省高三考前模拟十二理科数学试卷(解析版) 题型:填空题

,则的值为

查看答案和解析>>

科目:高中数学 来源:2016届云南省高考复习质量六理科数学试卷(解析版) 题型:解答题

已知椭圆)经过点,且其离心率为分别为椭圆的左、右焦点.设直线与椭圆相交于两点,为坐标原点.

(I)求椭圆的标准方程;

(II)当时,求的面积的最大值;

(III)以线段为邻边作平行四边形,若点在椭圆上,且满足,求实数的取值范围.

查看答案和解析>>

科目:高中数学 来源:2016届安徽省高三第九次月考文科数学试卷(解析版) 题型:解答题

选修4-5、不等式选讲

已知的最小值为

(1)求

(2)解关于的不等式

查看答案和解析>>

同步练习册答案