精英家教网 > 高中数学 > 题目详情
已知点Pn(an,bn)(n∈N*)满足an+1=anbn+1,且点P1的坐标为(1,-1),
(Ⅰ)求经过点P1,P2的直线l的方程;
(Ⅱ)已知点Pn(an,bn)(n∈N*)在P1,P2两点确定的直线l上,求证:数列是等差数列;
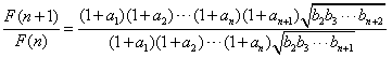
(Ⅲ)在(Ⅱ)的条件下,求对于所有n∈N*,能使不等式(1+a1)(1+a2)…(1+an)≥
成立的最大实数k的值。
解:(Ⅰ)因为,所以
所以
所以过点P1,P2的直线l的方程为2x+y=1。 
(Ⅱ)因为Pn(an,bn)在直线l上,所以
所以

所以
所以是公差为2的等差数列;
(Ⅲ)由(Ⅱ)得
所以,所以
所以
依题意恒成立,

所以只需求满足k ≤F(n)的F(n)的最小值,
因为

所以F(n)(x∈N*)为增函数,
所以
所以
所以
练习册系列答案
相关习题

科目:高中数学 来源: 题型:

(理)已知点A(1,0),B(0,1)和互不相同的点P1,P2,P3,…,Pn,…,满足
OPn
=an
OA
+bn
OB
(n∈N*)
,O为坐标原点,其中{an}、{bn}分别为等差数列和等比数列,P1是线段AB的中点,对于给定的公差不为零的an,都能找到唯一的一个bn,使得P1,P2,P3,…,Pn,…,都在一个指数函数
 
(写出函数的解析式)的图象上.

查看答案和解析>>

科目:高中数学 来源: 题型:

已知点集L={(x,y)|y=
m
n
},其中
m
=(2x-b,1),
n
=(1,b+1),点列Pn(an,bn)(n∈N+)在L中,p1为L与y轴的交点,数列{an}是公差为1的等差数列.
(Ⅰ)求数列{bn}的通项公式;
(Ⅱ)若f(n)=
an,(n为奇数)
bn,(n为偶数)
,令Sn=f(1)+f(2)+f(3)+…+f(n),试写出Sn关于n的表达式;
(Ⅲ)若f(n)=
an,(n为奇数)
bn,(n为偶数)
,给定奇数m(m为常数,m∈N+,m>2).是否存在k∈N+,,使得
f(k+m)=2f(m),若存在,求出k的值;若不存在,请说明理由.

查看答案和解析>>

科目:高中数学 来源: 题型:

已知点集L={(x,y)|y=
m
n
}
,其中
m
=(2x-b,1),
n
=(1,b+1),点列Pn(an,bn)在L中,P1为L与y轴的交点,等差数列{an}的公差为1,n∈N*
(I)求数列{bn}的通项公式;
(Ⅱ)若f(n)=
an  n为正奇数
bn  n为正偶数
,令Sn=f(1)+f(2)+f(3)+…+f(n);试写出Sn关于n的函数解析式;

查看答案和解析>>

科目:高中数学 来源: 题型:

已知点集L={(x,y)|y=
m
n
}
,其中
m
=(2x-b,1),
n
=(1,1+b)
,又知点列Pn(an,bn)∈L,P1为L与y轴的交点.等差数列{an}的公差为1,n∈N*
(Ⅰ)求Pn(an,bn);
(Ⅱ)若f(n)=
an,n=2k-1
bn,n=2k
k∈N*,f(k+11)=2f(k)
,求出k的值;
(Ⅲ)对于数列{bn},设Sn是其前n项和,是否存在一个与n无关的常数M,使
Sn
S2n
=M
,若存在,求出此常数M,若不存在,请说明理由.

查看答案和解析>>

科目:高中数学 来源: 题型:

已知点集L={(x,y)|y=
m
n
}
,其中
m
=(2x-b,1),
n
=(1,b+1)
,点列Pn(an,bn)在L中,P1为L与y轴的交点,等差数列{an}的公差为1,n∈N+
(1)求数列{an},{bn}的通项公式;
(2)若f(n)=
an(n=2k-1)
bn(n=2k)
(k∈N+)
,是否存在k∈N+使得f(k+11)=2f(k),若存在,求出k的值;若不存在,请说明理由.
(3)求证:
1
|P1P2|2
+
1
|P1P3|2
+…+
1
|P1Pn|2
2
5
(n≥2,n∈N*).

查看答案和解析>>

同步练习册答案