精英家教网 > 高中数学 > 题目详情
已知x2+y2=1,则的取值范围是( )
A.
B.
C.
D.
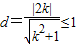
【答案】分析:的几何意义是(x,y)与(-2,0)连线的斜率,设出直线方程,利用圆心到直线的距离为,即可得出结论.
解答:解:的几何意义是(x,y)与(-2,0)连线的斜率
设过(-2,0)的直线方程为y=k(x+2),即kx-y+2k=0
∵x2+y2=1,
∴圆心到直线的距离为

故选D.
点评:本题考查直线与圆的位置关系,考查点到直线的距离公式,考查学生的计算能力,属于中档题.
练习册系列答案
相关习题

科目:高中数学 来源: 题型:

已知x2+y2=1,x>0.y>0,且loga(1+x)=m,loga
1
1-x
=n
,则logay等于(  )
A、m+n
B、m-n
C、
1
2
(m+n)
D、
1
2
(m-n)

查看答案和解析>>

科目:高中数学 来源: 题型:

已知x2+y2=1,则(1-xy)(1+xy)有(  )
A、最大值
1
2
,最小值1
B、最大值1,最小值
3
4
C、最小值
3
4
,无最大值
D、最大值1,无最小值

查看答案和解析>>

科目:高中数学 来源: 题型:

已知x2+y2=1,则
y
x+2
的取值范围是(  )

查看答案和解析>>

科目:高中数学 来源: 题型:

已知x2+y2=1,求|xcosθ+ysinθ|的最大值.

查看答案和解析>>

科目:高中数学 来源: 题型:

已知x2+y2=1,若对于任意实数x、y恒有不等式x+y-k≥0成立,则k的最大值为__________.

查看答案和解析>>

同步练习册答案