精英家教网 > 高中数学 > 题目详情

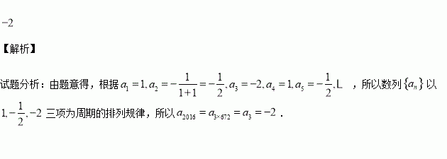
数列中,,则 .

练习册系列答案
相关习题

科目:高中数学 来源:2016届山西省高考考前质量检测三理科数学试卷(解析版) 题型:选择题

中,角所对的边分别为.若,且,则的最大值是( )

A. B. C. D.

查看答案和解析>>

科目:高中数学 来源:2015-2016学年河北石家庄辛集中学高二下期中理数学卷(解析版) 题型:填空题

抛掷一枚质地均匀的骰子n次,构造数列,使得.记,则的概率为.(用数字作答)

查看答案和解析>>

科目:高中数学 来源:2015-2016学年河北石家庄辛集中学高二下期中理数学卷(解析版) 题型:选择题

曲线的极坐标方程化为直角坐标方程为( )

A. B.

C. D.

查看答案和解析>>

科目:高中数学 来源:2015-2016学年山东省高二下期中文科数学试卷(解析版) 题型:解答题

复数,若是实数,求实数的值.

查看答案和解析>>

科目:高中数学 来源:2015-2016学年山东省高二下期中文科数学试卷(解析版) 题型:选择题

若复数满足,则的取值范围是( )

A. B. C. D.

查看答案和解析>>

科目:高中数学 来源:2015-2016学年山东省高二下期中理科数学试卷(解析版) 题型:解答题

某连锁分店销售某种商品,每件商品的成本为4元,并且每件商品需向总店交元的管理费,预计当每件商品的售价为元时,一年的销售量为万件.

(1)求该连锁分店一年的利润(万元)与每件商品的售价的函数关系式

(2)当每件商品的售价为多少元时,该连锁分店一年的利润最大,并求出的最大值.

查看答案和解析>>

科目:高中数学 来源:2015-2016学年山东省高二下期中理科数学试卷(解析版) 题型:选择题

利用数学归纳法证明不等式的过程中,由变成时,左边增加了( )

A.1项 B.项 C.项 D.

查看答案和解析>>

科目:高中数学 来源:2016届海南师大附中高三第九次月考文科数学试卷(解析版) 题型:选择题

在正方形中,,沿着对角线翻折,使得平面平面,得到三棱锥,若球为三棱锥的外接球,则球的体积与三棱锥的体积之比为( )

A. B. C. D.

查看答案和解析>>

同步练习册答案