精英家教网 > 高中数学 > 题目详情
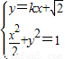
如图在Rt△ABC中,三个顶点坐标分别为A(-1,0),B(1,0),,曲线E过C点且曲线E上任一点P满足|PA|+|PB|是定值.
(Ⅰ)求出曲线E的标准方程;
(Ⅱ)设曲线E与x轴,y轴的交点分别为D、Q,是否存在斜率为k的直线l过定点与曲线E交于不同的两点M、N,且向量共线.若存在,求出此直线方程;若不存在,请说明理由.

【答案】分析:(Ⅰ)利用题设点P满足|PA|+|PB|是定值,可知点P的及轨迹是以A,B为焦点的椭圆,从而可求曲线E的标准方程;(Ⅱ)设l方程与椭圆方程联立,利用l与椭圆有2个不同交点确定k的取值范围,利用向量共线,求出k的取值,由此即可得到结论.
解答:解:(Ⅰ)由题设,|AC|=,|AB|=2,|BC|=
∵点P满足|PA|+|PB|是定值.
∴|PA|+|PB|=+=2>|AB|
由椭圆的定义,可知点P的轨迹是以A,B为焦点的椭圆,且a=,c=1,b=
∴曲线E的标准方程为
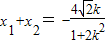
(Ⅱ)由已知条件l方程为y=kx+,由消去y整理得(1+2k2)x2+x+2=0
l与椭圆有2个不同交点的条件为△=32k2-8(1+2k2)>0,解得
若l与椭圆交于M(x1,y1),N(x2,y2),∴
=(x1+x2,y1+y2
椭圆与x轴,y轴交点D(,0),Q(0,1),
∵向量共线


解得k=
∴不存在符合题设条件的直线l.
点评:本题考查椭圆的标准方程,考查直线与椭圆的位置关系,考查向量知识的运用,直线与椭圆联立,利用韦达定理是解题的关键.
练习册系列答案
相关习题

科目:高中数学 来源: 题型:

如图在Rt△ABC中,三个顶点坐标分别为A(-1,0),B(1,0),C(-1,
2
2
)
,曲线E过C点且曲线E上任一点P满足|PA|+|PB|是定值.
(Ⅰ)求出曲线E的标准方程;
(Ⅱ)设曲线E与x轴,y轴的交点分别为D、Q,是否存在斜率为k的直线l过定点(0,
2
)
与曲线E交于不同的两点M、N,且向量
OM
+
ON
DQ
共线.若存在,求出此直线方程;若不存在,请说明理由.

查看答案和解析>>

科目:高中数学 来源: 题型:

如图,在Rt△ABC中,已知BC=a,若长为2a的线段PQ以点A为中点,

的夹角θ取何值时,·的值最大?并求出这个最大值.

      

查看答案和解析>>

科目:高中数学 来源: 题型:

如图,在Rt△ABC中,∠A=90°,AB=1,则·的值是(    )

A.1                                          B.-1

C.1或-1                                   D.不确定,与∠B的大小、BC的长度有关

查看答案和解析>>

科目:高中数学 来源: 题型:

如图,在Rt△ABC中,AF是斜边BC上的高线,且BD=DC=FC=1,则AC的长为(    )

A.                B.                 C.              D.

查看答案和解析>>

科目:高中数学 来源:2010-2011学年宁夏高三第四次月考数学试(理)题 题型:解答题

选修4-1:几何证明选讲如图,在Rt⊿ABC中,AB=BC,以AB为直径的⊙O

交AC于D,过D作DE⊥BC,垂足为E,连接AE交⊙O于点F,求证:CE2=EFEA.

 

查看答案和解析>>

同步练习册答案