精英家教网 > 高中数学 > 题目详情

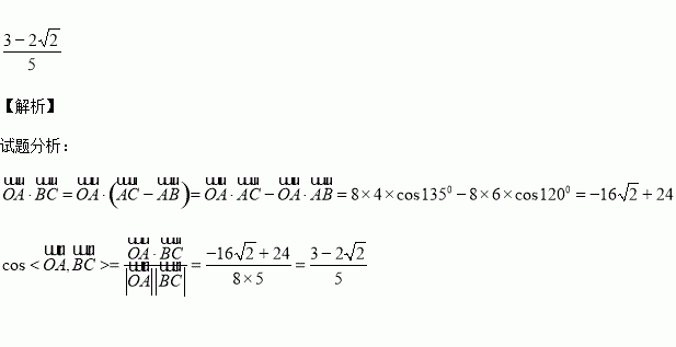
如图,在空间四边形中,若,,,,,则所成角的余弦值为

练习册系列答案
相关习题

科目:高中数学 来源:2016届甘肃省高三上第四次月考理科数学试卷(解析版) 题型:填空题

已知正四棱柱中,,则与平面所成角的正弦值等于____.

查看答案和解析>>

科目:高中数学 来源:2015-2016学年辽宁省高二上期中文科数学试卷(解析版) 题型:选择题

已知命题”,则为 ( )

A. B.

C. D.

查看答案和解析>>

科目:高中数学 来源:2015-2016学年江西省高一创新上期中数学卷(解析版) 题型:解答题

函数是奇函数.

(1)求的值;

(2)判断在区间上单调性并加以证明;

查看答案和解析>>

科目:高中数学 来源:2015-2016学年江西高安中学高二重点上期中文数学卷(解析版) 题型:选择题

已知点,抛物线的焦点为F,射线FA与抛物线C相交于点M,与其准线相交于点N,若,则的值等于( )

A. B. C.2 D.4

查看答案和解析>>

科目:高中数学 来源:2015-2016学年江西省高二上期中文科数学试卷(解析版) 题型:填空题

过双曲线的左焦点作圆的切线,切点为E,延长FE交抛物线于点P,O为坐标原点,若,则双曲线的离心率为

查看答案和解析>>

科目:高中数学 来源:2015-2016学年湖南师大附中高二上第二次段测文科数学卷(解析版) 题型:填空题

不等式的解是_______.

查看答案和解析>>

科目:高中数学 来源:2015-2016学年河北省高二上期中理科数学试卷(解析版) 题型:选择题

已知定义在上的奇函数,其导函数为,对任意正实数满足,若,则不等式的解集是( )

A. B.

C. D.

查看答案和解析>>

科目:高中数学 来源:2015-2016学年山东潍坊中学高二上学期期末理科数学试卷(解析版) 题型:填空题

”是“”的_______条件.(填“充分不必要”,“必要不充分”,“充分必要”)

查看答案和解析>>

同步练习册答案