精英家教网 > 高中数学 > 题目详情
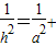
在Rt△ABC中,两直角边分别为a、b,设h为斜边上的高,则,由此类比:三棱锥S-ABC中的三条侧棱SA、SB、SC两两垂直,且长度分别为a、b、c,设棱锥底面ABC上的高为h,则   
【答案】分析:立体几何中的类比推理主要是基本元素之间的类比:平面?空间,点?点或直线,直线?直线或平面,平面图形?平面图形或立体图形,故本题由平面上的直角三角形中的边与高的关系式类比立体中两两垂直的棱的三棱锥中边与高的关系即可.
解答:解:∵PA、PB、PC两两互相垂直,∴PA⊥平面PBC.
设PD在平面PBC内部,且PD⊥BC,
由已知有:PD=,h=PO=
,即
故答案为:
点评:类比推理是指依据两类数学对象的相似性,将已知的一类数学对象的性质类比迁移到另一类数学对象上去.其思维过程大致是:观察、比较 联想、类推 猜测新的结论.
练习册系列答案
相关习题

科目:高中数学 来源: 题型:

在Rt△ABC中,两直角边分别为a、b,设h为斜边上的高,则
1
h2
=
1
a2
+
1
b2
,由此类比:三棱锥S-ABC中的三条侧棱SA、SB、SC两两垂直,且长度分别为a、b、c,设棱锥底面ABC上的高为h,则
 

查看答案和解析>>

科目:高中数学 来源:2008-2009学年广东省惠州市惠阳高级中学高二(下)期中数学试卷(理科)(解析版) 题型:填空题

在Rt△ABC中,两直角边分别为a、b,设h为斜边上的高,则,由此类比:三棱锥S-ABC中的三条侧棱SA、SB、SC两两垂直,且长度分别为a、b、c,设棱锥底面ABC上的高为h,则   

查看答案和解析>>

科目:高中数学 来源:2008-2009学年江苏省南通市九所重点中学联考高三(上)期中数学试卷(解析版) 题型:填空题

在Rt△ABC中,两直角边分别为a、b,设h为斜边上的高,则,由此类比:三棱锥S-ABC中的三条侧棱SA、SB、SC两两垂直,且长度分别为a、b、c,设棱锥底面ABC上的高为h,则   

查看答案和解析>>

科目:高中数学 来源:2010-2011学年江苏省无锡市江阴市成化高中高二期中数学模拟练习试卷1(解析版) 题型:填空题

在Rt△ABC中,两直角边分别为a、b,设h为斜边上的高,则,由此类比:三棱锥S-ABC中的三条侧棱SA、SB、SC两两垂直,且长度分别为a、b、c,设棱锥底面ABC上的高为h,则   

查看答案和解析>>

科目:高中数学 来源:2010年广东省中山市高考数学模拟试卷(理科)(解析版) 题型:解答题

在Rt△ABC中,两直角边分别为a、b,设h为斜边上的高,则,由此类比:三棱锥S-ABC中的三条侧棱SA、SB、SC两两垂直,且长度分别为a、b、c,设棱锥底面ABC上的高为h,则   

查看答案和解析>>

同步练习册答案