精英家教网 > 高中数学 > 题目详情
如图,在长方体ABCD-A1B1C1D1中,AD=AA1=1,AB=2,点E在棱AB上移动。
(1)证明:D1E⊥A1D;
(2)是否存在点E使得面D1DE⊥面D1EC?若存在,请求出此时点E到面ACD1的距离;若不存在,请说明理由;
(3)AE等于何值时,二面角D1-EC-D的大小为
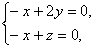
解:如图,以D为坐标原点,直线DA,DC,DD1分别为x,y,z轴,建立空间直角坐标系,
设AE =x,
则 D(0,0,0),A(1,0,1),D(0,0,1),E(1,x,0),A(1,0,0),C(0,2,0)
(1)因为
所以
即D1E⊥A1D。
(2)设平面D1EC的一个法向量为n1=(a,b,c)


令b=1,则c=2,a=2-x,n1=(2-x,1,2),
再设平面D1DE的一个法向量为


令n=1,则m=-x,n2=(-x,1,0)
由面D1DE⊥面D1ECn1·n2=(2-x,1,2)·(-x,1,0)=0得x2-2x+1=0
故x=1
故E为AB的中点时,有面D1DE⊥面D1EC
由于此时点E为AB的中点,故E(1,1,0),

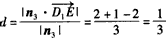
设平面ACD1的一个法向量n3=(x,y,z),则

令x=2,则y=1,z=2,即n3=(2,1,2),
故点E到面ACD1的距离为
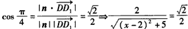
(3)由上述解答过程可知面D1EC的法向量为n=(2-x,1,2)
由题意,
(不合题意,舍去)
∴当时,二面角D1-EC-D的大小为
练习册系列答案
相关习题

科目:高中数学 来源: 题型:

如图在长方体ABCD-A1B1C1D1中,三棱锥A1-ABC的面是直角三角形的个数为:
4
4

查看答案和解析>>

科目:高中数学 来源: 题型:

如图,定义八个顶点都在某圆柱的底面圆周上的长方体叫做圆柱的内接长方体,圆柱也叫长方体的外接圆柱.设长方体ABCD-A1B1C1D1的长、宽、高分别为a,b,c(其中a>b>c),那么该长方体的外接圆柱侧面积的最大值等于(  )

查看答案和解析>>

科目:高中数学 来源: 题型:

若一个n面体中有m个面是直角三角形,则称这个n面体的直度为.如图,在长方体ABCD-A1B1C1D1中,四面体A1-ABC的直度为(    )

 

A.         B.               C.                 D.1

查看答案和解析>>

科目:高中数学 来源: 题型:

若一个n面体中有m个面是直角三角形,则称这个n面体的直度为.如图,在长方体ABCD-A1B1C1D1中,四面体A1-ABC的直度为(    )

 

A.            B.              C.              D.1

查看答案和解析>>

科目:高中数学 来源:2010-2011年四川省成都市高二3月月考数学试卷 题型:填空题

(文科做)(本题满分14分)如图,在长方体

ABCDA1B1C1D1中,AD=AA1=1,AB=2,点E在棱AB上移动.

(1)证明:D1EA1D;

(2)当EAB的中点时,求点E到面ACD1的距离;

(3)AE等于何值时,二面角D1ECD的大小为.                      

 

 

 

(理科做)(本题满分14分)

     如图,在直三棱柱ABCA1B1C1中,∠ACB = 90°,CB = 1,

CA =AA1 =M为侧棱CC1上一点,AMBA1

   (Ⅰ)求证:AM⊥平面A1BC

   (Ⅱ)求二面角BAMC的大小;

   (Ⅲ)求点C到平面ABM的距离.

 

 

 

 

 

查看答案和解析>>

同步练习册答案