精英家教网 > 高中数学 > 题目详情
一束光线从点F1(﹣1,0)出发,经直线l:2x﹣y+3=0上一点P反射后,恰好穿过点F2(1,0).      
(Ⅰ)求点F1关于直线l的对称点F1'的坐标;
(Ⅱ)求以F1、F2为焦点且过点P的椭圆C的方程;
(Ⅲ)设直线l与椭圆C的两条准线分别交于A、B两点,点Q为线段AB上的动点,求点Q 到F2的距离与到椭圆C右准线的距离之比的最小值,并求取得最小值时点Q的坐标.
解:(Ⅰ)设F1的坐标为(m,n),则
解得,因此,点F1'的坐标为(﹣).
(Ⅱ)∵|PF1'|=|PF1|,根据椭圆定义,
得2a=|PF1'|+|PF2|=|F1F2|=

∴所求椭圆方程为
(Ⅲ)∵,∴椭圆的准线方程为x=±2.
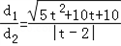
设点Q的坐标为(t,2t+3)(﹣2<t<2),d1表示点Q到F2的距离,d2表示点Q到椭圆的右准线的距离.

d2=|t﹣2|.=
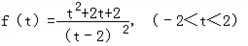
,则
=
∵当,t=﹣,f'(t)>0.
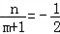
∴f(t)在t=﹣时取得最小值.
因此,最小值=,此时点Q的坐标为(﹣
练习册系列答案
相关习题

科目:高中数学 来源: 题型:

一束光线从点F1(-1,0)出发,经直线l:2x-y+3=0上一点P反射后,恰好穿过点F2(1,0).      
(Ⅰ)求点F1关于直线l的对称点F1′的坐标;
(Ⅱ)求以F1、F2为焦点且过点P的椭圆C的方程;
(Ⅲ)设直线l与椭圆C的两条准线分别交于A、B两点,点Q为线段AB上的动点,求点Q 到F2的距离与到椭圆C右准线的距离之比的最小值,并求取得最小值时点Q的坐标.

查看答案和解析>>

科目:高中数学 来源: 题型:

一束光线从点F1(-1,0)出发,经直线l:2x-y+3=0上一点P反射后,恰好穿过点F2(1,0).
(Ⅰ)求P点的坐标;
(Ⅱ)求以F1、F2为焦点且过点P的椭圆C的方程.

查看答案和解析>>

科目:高中数学 来源: 题型:

一束光线从点F1(-1,0)出发,经直线l:2x-y+3=0上一点D反射后,恰好穿过点F2(1,0),
(1)求以F1、F2为焦点且过点D的椭圆C的方程;
(2)从椭圆C上一点M向以短轴为直径的圆引两条切线,切点分别为A、B,直线AB与x轴、y轴分别交于点P、Q.求|PQ|的最小值.

查看答案和解析>>

科目:高中数学 来源: 题型:

一束光线从点F1(-1,0)出发,经直线l:2x-y+3=0上一点P反射后,恰好穿过点F2(1,0).
(1)求P点的坐标;
(2)求以F1、F2为焦点且过点P的椭圆C的方程;
(3)设点Q是椭圆C上除长轴两端点外的任意一点,试问在x轴上是否存在两定点A、B,使得直线QA、QB的斜率之积为定值?若存在,请求出定值,并求出所有满足条件的定点A、B的坐标;若不存在,请说明理由.

查看答案和解析>>

科目:高中数学 来源: 题型:

一束光线从点F1(-1,0)出发,经直线l:x+2y+6=0上一点M反射后,恰好穿过点F2(1,0).
(1)求点F1关于直线l的对称点F'1的坐标;
(2)求以F1、F2为焦点且过点M的椭圆C的方程.

查看答案和解析>>

同步练习册答案