精英家教网 > 高中数学 > 题目详情

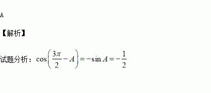
已知sinA=, 那么cos()=

A.- B. C.- D.

练习册系列答案
相关习题

科目:高中数学 来源:2016-2017学年河北冀州市高二上月考二文数学试卷(解析版) 题型:解答题

已知四棱锥,底面、边长为的菱形,又,且,点分别是棱的中点.

(1)证明:平面

(2)证明:平面平面

(3)求点到平面的距离.

查看答案和解析>>

科目:高中数学 来源:2016-2017学年河北冀州市高二上月考二理数学试卷(解析版) 题型:选择题

已知函数的最小正周期为,且对,有成立,则的一个对称,中心坐标是( )

A. B. C. D.

查看答案和解析>>

科目:高中数学 来源:2015-2016学年湖南衡阳县四中高一下期期末数学试卷(解析版) 题型:填空题

取一根长度为3米的绳子,拉直后在任意位置剪断,则剪出的两段的长都不小于1米(记为事件A)的概率为________

查看答案和解析>>

科目:高中数学 来源:2015-2016学年湖南衡阳县四中高一下期期末数学试卷(解析版) 题型:选择题

将函数的图像上所有的点向右平行移动个单位长度,再把所得各点的横坐标伸长到原来的2倍(纵坐标不变),所得图像的函数解析式是 ( )

A. B.

C. D.

查看答案和解析>>

科目:高中数学 来源:2017届重庆市高三上学期入学考试数学(理)试卷(解析版) 题型:解答题

已知函数

(1)当时,求函数上的最小值;

(2)若,不等式恒成立,求的取值范围;

(3)若,不等式恒成立,求的取值范围.

查看答案和解析>>

科目:高中数学 来源:2017届重庆市高三上学期入学考试数学(理)试卷(解析版) 题型:填空题

已知分别是定义域为的奇函数和偶函数,且,则的值为_____________.

查看答案和解析>>

科目:高中数学 来源:2017届河南息县第一高级中学高三上阶段测三数学(文)试卷(解析版) 题型:解答题

已知椭圆过点两点.

(Ⅰ)求椭圆的方程及离心率;

(Ⅱ)设为第三象限内一点且在椭圆上,直线轴交于点,直线轴交于点,求证:

四边形的面积为定值.

查看答案和解析>>

科目:高中数学 来源:2017届河北衡水中学高三上学期一调考试数学(文)试卷(解析版) 题型:选择题

下列函数为奇函数的是( )

A. B. C. D.

查看答案和解析>>

同步练习册答案