精英家教网 > 高中数学 > 题目详情

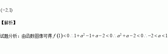
已知函数的一个零点比大,一个零点比小,则实数的取值范围

练习册系列答案
相关习题

科目:高中数学 来源:2016届贵州省高三上学期第三次月考理科数学试卷(解析版) 题型:选择题

定义域为的函数满足,当时,,若当时,函数恒成立,则实数的取值范围为( )

A. B. C. D.

查看答案和解析>>

科目:高中数学 来源:2015-2016学年黑龙江哈尔滨师大附中高二上期中文数学卷(解析版) 题型:选择题

焦点在轴上的椭圆的焦距为,则长轴长是 ( )

A. B. C. D.

查看答案和解析>>

科目:高中数学 来源:2015-2016学年河北石家庄二中高一上学期期中数学试卷(解析版) 题型:选择题

已知,则( )

A、 B、 C、 D、

查看答案和解析>>

科目:高中数学 来源:2015-2016学年陕西省西安市高一上学期期中考试数学试卷(解析版) 题型:解答题

设全集为R,

(1)求

(2)若,求实数的取范围.

查看答案和解析>>

科目:高中数学 来源:2015-2016学年吉林省扶余市高一上学期期中考试数学试卷(解析版) 题型:填空题

查看答案和解析>>

科目:高中数学 来源:2015-2016学年陕西省西安市高二上学期期中考试文科数学试卷(解析版) 题型:选择题

等差数列中,前n项的和为,若S13=39,那么a7=( )

A.3 B.6 C.9 D.12

查看答案和解析>>

科目:高中数学 来源:2016届河南省郑州市高三上学期联考理科数学试卷(解析版) 题型:填空题

执行下面的程序框图,若输出的结果为,则输入的实数的值是________.

查看答案和解析>>

科目:高中数学 来源:2015-2016学年广东省汕头市高一上学期期中考试数学试卷(解析版) 题型:选择题

下列函数中,在其定义域内是减函数的是( )

A. B. C. D.

查看答案和解析>>

同步练习册答案