精英家教网 > 高中数学 > 题目详情
如图,已知圆G:x2+y2-2x-y=0经过椭圆的右焦点F及上顶点B.过点M(m,0)作倾斜角为的直线l交椭圆于C、D两点.
(1)求椭圆的方程;
(2)若点Q(1,0)恰在以线段CD为直径的圆的内部,求实数m范围.

【答案】分析:(1)利用已知即可得到点F,B的坐标,即可得到c,b,再利用a2=b2+c2即可;
(2)把直线的方程与椭圆的方程联立即可得到根与系数的关系,又点Q(1,0)在以线段CD为直径的圆内,即可得到.代入即可得到m的取值范围.
解答:解:(1)∵圆G:经过椭圆的右焦点F及上顶点B.
∴F(2,0),B(0,),∴c=2,b=
∴a2=b2+c2=6.
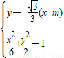
∴椭圆的方程为
(2)由题意l的方程为:
设C(x1,y1),D(x2,y2).
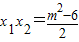
联立,消去y整理得2x2-2mx+m2-6=0.
由△>0得到4m2-4×2(m2-6)>0,解得
∴x1+x2=m,
又点Q(1,0)在以线段CD为直径的圆内,∴
∴(x1,y1)•(x2-1,y2)<0,
<0.

∴2m2-3m-9<0,
解得
综上所述,m的取值范围是
点评:熟练掌握椭圆的标准方程及其性质、直线与椭圆相交问题转化为方程联立得到根与系数的关系、点在圆的内部的等价条件、一元二次不等式的解法等是解题的关键.
练习册系列答案
相关习题

科目:高中数学 来源: 题型:

精英家教网如图,已知圆G:x2+y2-2x-
2
y=0,经过椭圆
x2
a2
+
y2
b2
=1(a>b>0)的右焦点F及上顶点B,过圆外一点(m,0)(m>a)倾斜角为
6
的直线l交椭圆于C,D两点,
(1)求椭圆的方程;
(2)若右焦点F在以线段CD为直径的圆E的内部,求m的取值范围.

查看答案和解析>>

科目:高中数学 来源: 题型:

如图,已知圆G:x2+y2-2x-
2
y=0
经过椭圆
x2
a2
+
y2
b2
=1
(a>b>0)的右焦点F及上顶点B,过椭圆外一点(m,0)(ma)且倾斜角为
5
6
π
的直线l交椭圆于C,D两点.
(Ⅰ)求椭圆的方程;
(Ⅱ)若
FC
FD
<0
,求m的取值范围.

查看答案和解析>>

科目:高中数学 来源: 题型:

如图,已知圆G:x2+y2-2x-
2
y=0经过椭圆
x2
a2
+
y2
b2
=1(a>b>0)
的右焦点F及上顶点B.过点M(m,0)作倾斜角为
5
6
π
的直线l交椭圆于C、D两点.
(1)求椭圆的方程;
(2)若点Q(1,0)恰在以线段CD为直径的圆的内部,求实数m范围.

查看答案和解析>>

科目:高中数学 来源:湖南省模拟题 题型:解答题

如图,已知圆G:x2+y2-2x-y=0经过椭圆(a>b>0)的右焦点F及上顶点B,过椭圆外一点(m,0)(m>a)且倾斜角为的直线l交椭圆于C,D两点,
(Ⅰ)求椭圆的方程;
(Ⅱ)若∠CFD∈,求m的取值范围。

查看答案和解析>>

科目:高中数学 来源: 题型:

如图,已知圆G:x2+y2﹣2x﹣y=0经过椭圆的右焦点F及上顶点B.过点M(m,0)作倾斜角为的直线l交椭圆于C、D两点.

(1)求椭圆的方程;

(2)若点Q(1,0)恰在以线段CD为直径的圆的内部,求实数m范围.

查看答案和解析>>

同步练习册答案