精英家教网 > 高中数学 > 题目详情
数列{an}是首项为1,且公比q>0的等比数列,Sn是{an}的前n项和,若9S3=S6,则数列的前5项和为( )
A.
B.5
C.
D.
【答案】分析:由已知结合等比数列的求和公式可求q,然后结合等比数列的性质及求和公式可求
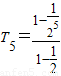
解答:解:由题意可得,
整理可得,9=1+q3
∴q=2,a1=1
∴an=2n-1
∴{}是以1为首项以为公比的等比数列
=
点评:本题主要考查了等比数列的性质及求和公式的简单应用,属于基础试题
练习册系列答案
相关习题

科目:高中数学 来源: 题型:

如果一个数列的各项都是实数,且从第二项开始,每一项与它前一项的平方差是相同的常数,则称该数列为等方差数列,这个常数叫这个数列的公方差.
(1)设数列{an}是公方差为p的等方差数列,求an和an-1(n≥2,n∈N)的关系式;
(2)若数列{an}既是等方差数列,又是等差数列,证明该数列为常数列;
(3)设数列{an}是首项为2,公方差为2的等方差数列,若将a1,a2,a3,…,a10这种顺序的排列作为某种密码,求这种密码的个数.

查看答案和解析>>

科目:高中数学 来源: 题型:

如果一个数列的通项公式是an=k•qn(k,q为不等于零的常数)则下列说法中正确的是(  )
A、数列{an}是首项为k,公比为q的等比数列B、数列{an}是首项为kq,公比为q的等比数列C、数列{an}是首项为kq,公比为q-1的等比数列D、数列{an}不一定是等比数列

查看答案和解析>>

科目:高中数学 来源: 题型:

数列{an}是首项为1的实数等比数列,Sn为数列{an}的前n项和,若28S3=S6,则数列{
1
an
}的前四项的和为
40
27
40
27

查看答案和解析>>

科目:高中数学 来源: 题型:

(2013•杭州二模)设数列{an}是首项为1的等比数列,若{
1
2an+an+1
}
是等差数列,则(
1
2a1
+
1
a2
)+(
1
2a2
+
1
a3
)
+…+(
1
2a2012
+
1
a2013
)
的值等于(  )

查看答案和解析>>

科目:高中数学 来源: 题型:

数列{an}是首项为a1,公差为d的等差数列,若数列{an}中任意不同的两项之和仍是该数列的一项,则称该数列是“封闭数列”
(1)试写出一个不是“封闭数列”的等差数列的通项公式,并说明理由;
(2)求证:数列{an}为“封闭数列”的充分必要条件是存在整数m≥-1,使a1=md.

查看答案和解析>>

同步练习册答案