精英家教网 > 高中数学 > 题目详情
指出函数在(-∞,-1],[-1,0)上的单调性,并证明之.
【答案】分析:任取x1,x2∈(-∞,-1]且x1<x2,通过判断的符号可得f(x2)与f(x1)的大小,由单调性的定义可得结论;同理可得当-1≤x1<x2<0时,函数的单调性.
解答:解:f(x)在(-∞,-1]上单调递增,在[-1,0)上单调递减,证明如下:
任取x1,x2∈(-∞,-1]且x1<x2

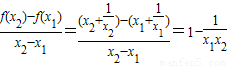
由x1<x2≤-1,知x1x2>1,∴,即f(x2)>f(x1),
∴f(x)在(-∞,-1]上是增函数;
当-1≤x1<x2<0时,有0<x1x2<1,得
∴f(x1)>f(x2),∴f(x)在[-1,0)上是减函数.
点评:本题考查函数单调性的判断及证明,属基础题,定义是解决该类题目的基本方法,应熟练掌握.
练习册系列答案
相关习题

科目:高中数学 来源:2011-2012年新人教版高一上学期数学 题型:解答题

(本小题满分14分)
指出函数上的单调性,并证明之.

查看答案和解析>>

科目:高中数学 来源:2014届四川省高一下学期3月月考理科数学试卷(解析版) 题型:解答题

将函数的图像先向右平移个单位,再向下平移两个单位,得到函数的图像.

(1)化简的表达式,并求出函数的表示式;

(2)指出函数上的单调性和最大值;

(3)已知,问在的图像上是否存在一点,使得AP⊥BP

 

查看答案和解析>>

科目:高中数学 来源:2011-2012年新人教版高一上学期数学 题型:解答题

(本小题满分14分)

指出函数上的单调性,并证明之.

 

查看答案和解析>>

科目:高中数学 来源: 题型:解答题

指出函数数学公式在(-∞,-1],[-1,0)上的单调性,并证明之.

查看答案和解析>>

同步练习册答案