在1,2,3…,8这8个自然数中,任取3个不同的数,(1)求这3个数中至少有1个是奇数的概率;(2)求这3个数和为12的概率.
【答案】
分析:(1) 本题是一个等可能事件的概率,试验发生包含的事件是从8个数字中任取3个,共有C
83种结果,满足条件的事件是至少有一个是奇数,包括三种情况,共有C
41C
41+C
42C
41+C
43C
4种结果,得到概率.
(2) 由题意知本题是一个等可能事件的概率,试验发生包含的事件是从8个数字中任取3个,共有C
83种结果,满足条件的事件可以列举出共有6种结果,得到概率.
解答:解:(1) 由题意知本题是一个等可能事件的概率,
∵试验发生包含的事件是从8个数字中任取3个,共有C
83种结果,
满足条件的事件是至少有一个是奇数,包括三种情况,共有C
41C
41+C
42C
41+C
43C
4种结果,
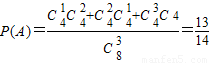
记“这3个数至少有一个是奇数”为事件A,
∴

,
即3个数中至少有1个是奇数的概率是

(2) 由题意知本题是一个等可能事件的概率,
∵试验发生包含的事件是从8个数字中任取3个,共有C
83种结果,
记“这3个数之和为12”为事件B,
则可能情况为:138、147、156、237、246、345,
∴

即这3个数和为12的概率是

.
点评:本题考查等可能事件的概率,试验发生包含的事件和满足条件的事件可以通过排列组合数表示出来,注意包含的情况比较多时,不要漏掉结果.