精英家教网 > 高中数学 > 题目详情
已知椭圆C:的焦点在y轴上,且离心率为.过点M(0,3)的直线l与椭圆C相交于两点A、B.
(1)求椭圆C的方程;
(2)设P为椭圆上一点,且满足(O为坐标原点),当时,求实数λ的取值范围.
【答案】分析:(1)由题知a2=m,b2=1,∴c2=m-1,且离心率为,得m=4.由此能求出椭圆的方程.
(2)当l的斜率不存在时,,不符合条件.设l的斜率为k,则l的方程为y=kx+3.设A(x1,y1),B(x2,y2),P(x,y),联立l和椭圆的方程:,消去y,整理得(4+k2)x2+6kx+5=0,再由根的判别式和韦达定理进行求解.
解答:解:(1)由题知a2=m,b2=1,∴c2=m-1
,解得m=4.
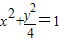
∴椭圆的方程为.(4分)
(2)当l的斜率不存在时,,不符合条件.(5分)
设l的斜率为k,则l的方程为y=kx+3.设A(x1,y1),B(x2,y2),P(x,y),联立l和椭圆的方程:
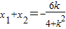
,.消去y,整理得(4+k2)x2+6kx+5=0,
∴△=(6k)2-4×(4+k2)×5=16k2-80>0,解得k2>5.且
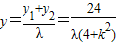
==
由已知有整理得13k4-88k2-128<0,解得
∴5<k2<8.(9分)
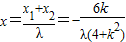
,即(x1,y1)+(x2,y2)=λ(x,y),
∴x1+x2=λx,y1+y2=λy
当λ=0时,,显然,上述方程无解.
当λ≠0时,
∵P(x,y)在椭圆上,

化简得.由5<k2<8,可得3<λ2<4,
∴λ∈(-2,-)∪(,2).即λ的取值范围为(-2,-)∪(,2).(12分)
点评:本题考查圆锥曲线和直线 的位置关系和应用,解题时要注意公式的灵活运用.
练习册系列答案
相关习题

科目:高中数学 来源: 题型:

(本题满分12分)已知椭圆C的焦点在y轴上,且离心率为.过点M(0,3)的直线l与椭圆C相交于两点AB.(1)求椭圆C的方程;(2)设P为椭圆上一点,且满足O为坐标原点),当||<时,求实数λ的取值范围.

查看答案和解析>>

科目:高中数学 来源: 题型:

(本题满分12分)已知椭圆C的焦点在y轴上,且离心率为.过点M(0,3)的直线l与椭圆C相交于两点AB.    (1)求椭圆C的方程;(2)设P为椭圆上一点,且满足O为坐标原点),当||<时,求实数λ的取值范围.

查看答案和解析>>

科目:高中数学 来源: 题型:解答题

已知椭圆C:数学公式的焦点在y轴上,且离心率为数学公式.过点M(0,3)的直线l与椭圆C相交于两点A、B.
(1)求椭圆C的方程;
(2)设P为椭圆上一点,且满足数学公式(O为坐标原点),当数学公式时,求实数λ的取值范围.

查看答案和解析>>

科目:高中数学 来源:2011年四川省乐山市高考数学二模试卷(理科)(解析版) 题型:解答题

已知椭圆C:的焦点在y轴上,且离心率为.过点M(0,3)的直线l与椭圆C相交于两点A、B.
(1)求椭圆C的方程;
(2)设P为椭圆上一点,且满足(O为坐标原点),当时,求实数λ的取值范围.

查看答案和解析>>

科目:高中数学 来源:四川省绵阳市高中2010届高三二诊(文) 题型:解答题

 

已知椭圆C的焦点在y轴上,且离心率为.过点(0,3)的直线l与椭圆C相交于两点AB

    (1)求椭圆C的方程;

(2)若以AB为直径的圆恰好经过椭圆C的右顶点M,求此时l的方程.

 

 

 

 

 

 

查看答案和解析>>

同步练习册答案