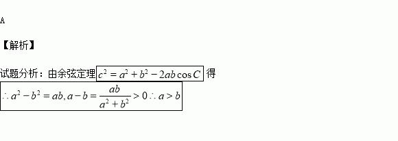
在△ABC中,角A,B,C所对的边长分别为a,b,c,若∠C=120°,c=
a,则a与b的大小关系为( )
A.a>b B.a<b
C.a=b D.a与b的大小关系不能确定
科目:高中数学 来源:2015-2016学年江西省高二下学期第一次月考文科数学试卷(解析版) 题型:解答题
已知椭圆G:
(a>b>0)的离心率为
,右焦点为(
,0).斜率为1的直线l与椭圆G交于A,B两点,以AB为底边作等腰三角形,顶点为P(-3,2).
(1)求椭圆G的方程;
(2)求△PAB的面积.
查看答案和解析>>
科目:高中数学 来源:2015-2016学年江西省高二下学期第一次月考理科数学试卷(解析版) 题型:选择题
函数
的极值情况是( )
A.有极大值2,极小值-2 B.有极大值-2,极小值2
C.无极大值,但有极小值-2 D.有极大值2,无极小值.
查看答案和解析>>
科目:高中数学 来源:2015-2016学年湖北省孝感六校联盟高一下学期期中考试文科数学卷(解析版) 题型:选择题
已知等差数列
的前
项和为
,
,
,
取得最大值时
的值为( )
A.
B.
C.
D.![]()
查看答案和解析>>
科目:高中数学 来源:2015-2016学年上海市高一下学期第一次月考数学试卷(解析版) 题型:解答题
已知关于
的方程
的两根为
。
求:(1)
的值;
(2)实数
的值;
(3)方程的两根及此时
的值。
查看答案和解析>>
科目:高中数学 来源:2015-2016学年上海市高一下学期第一次月考数学试卷(解析版) 题型:填空题
在△ABC中,A,B,C分别为a,b,c三条边的对角,如果b=2a,B=A+60o,那么∠A= 。
查看答案和解析>>
科目:高中数学 来源:2015-2016学年江西省高二3月月考理科数学试卷(解析版) 题型:选择题
已知直线![]()
与圆
交于不同的两点
、
,
是坐标原点,且有
,那么
的取值范围是( )
A.
B.
C.
D. ![]()
查看答案和解析>>
科目:高中数学 来源:2015-2016学年江西省赣州市十三县高二下学期期中理科数学试卷(解析版) 题型:选择题
已知函数
,若在区间
上,
恒成立,则
的取值范围是( )
A.
B.
C.
D.![]()
查看答案和解析>>
湖北省互联网违法和不良信息举报平台 | 网上有害信息举报专区 | 电信诈骗举报专区 | 涉历史虚无主义有害信息举报专区 | 涉企侵权举报专区
违法和不良信息举报电话:027-86699610 举报邮箱:58377363@163.com