精英家教网 > 高中数学 > 题目详情

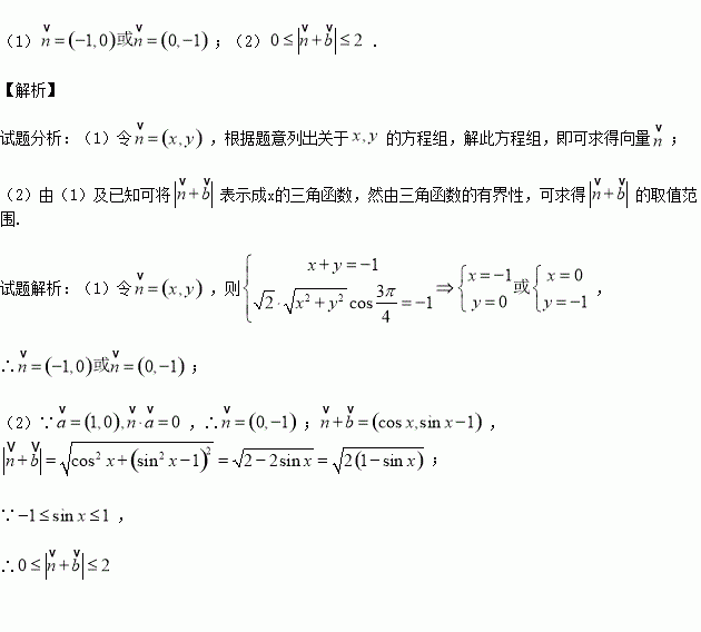
已知向量,向量与向量的夹角为,且.

(1)求向量

(2)设向量,向量,其中,若,试求的取值范围.

练习册系列答案
相关习题

科目:高中数学 来源:2016年山西省高考冲刺压轴卷三理科数学试卷(解析版) 题型:解答题

已知函数.

(Ⅰ)求函数的最小正周期和单调增区间;

(Ⅱ)在中,角的对边分别是,且锐角满足,求的值.

查看答案和解析>>

科目:高中数学 来源:2015-2016学年河北冀州中学高一下期末文科数学试卷(解析版) 题型:选择题

已知向量满足,则( )

A.-12 B.-20 C.12 D.20

查看答案和解析>>

科目:高中数学 来源:2016届贵州省招生模拟文科数学试卷(解析版) 题型:选择题

阅读如图所示的程序框图,若输出的结果是63,则判断框内的值可为( )

A.5 B.6 C.7 D.8

查看答案和解析>>

科目:高中数学 来源:2016届贵州省招生模拟文科数学试卷(解析版) 题型:选择题

已知复数满足是虚数单位),则( )

A. B. C. D.

查看答案和解析>>

科目:高中数学 来源:2015-2016学年山东省高一下期中数学试卷(解析版) 题型:填空题

已知点,若向量与向量同向,且,则点的坐标为__________.

查看答案和解析>>

科目:高中数学 来源:2015-2016学年山东省高一下期中数学试卷(解析版) 题型:选择题

,且,则( )

A. B. C. D.

查看答案和解析>>

科目:高中数学 来源:2015-2016学年山西省高二3月月考理科数学试卷(解析版) 题型:选择题

定义在上的函数,是它的导函数,且恒有成立.则( )

A. B.

C. D.

查看答案和解析>>

科目:高中数学 来源:2015-2016学年四川省雅安市高二下期中理科数学试卷(解析版) 题型:填空题

曲线所围成的图形的面积是__________.

查看答案和解析>>

同步练习册答案