精英家教网 > 高中数学 > 题目详情

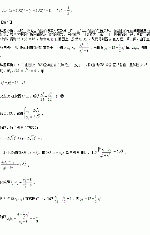
如图,在平面直角坐标系中,已知是椭圆上的一点,从原点向圆作两条切线,分别交椭圆于点

(1)若点在第一象限,且直线互相垂直,求圆的方程;

(2)若直线的斜率存在,并记为,求的值;

练习册系列答案
相关习题

科目:高中数学 来源:2015-2016学年湖北省高二3月月考文科数学试卷(解析版) 题型:解答题

已知,动点满足;

(1)求动点的轨迹方程

(2)过作两条互相垂直的直线,分别交曲线四点,求四边形面积的最大值.

查看答案和解析>>

科目:高中数学 来源:2015-2016学年湖北省高二3月月考理科数学试卷(解析版) 题型:选择题

要计算1+++…+的结果,下面的程序框图中的横线上可以填

A.n>2016? B.n≥2016? C.n<2016? D. n≤2016?

查看答案和解析>>

科目:高中数学 来源:2015-2016学年贵州省高一下期中数学试卷(解析版) 题型:选择题

中,,则的面积为

A.6 B.3 C. D.

查看答案和解析>>

科目:高中数学 来源:2015-2016学年贵州省高一下期中数学试卷(解析版) 题型:选择题

等差数列中,,则

A. B. C. D.

查看答案和解析>>

科目:高中数学 来源:2016届河南省南阳、周口、驻马店等六市高三第一次联考文科数学试卷(解析版) 题型:填空题

已知点,抛物线的焦点为,射线与抛物线相交于点,与其准线相交于点,若,则的值等于________.

查看答案和解析>>

科目:高中数学 来源:2016届河南省南阳、周口、驻马店等六市高三第一次联考文科数学试卷(解析版) 题型:选择题

如图所示的程序框图,若输出的,则判断框内应填入的条件是( )

A. B. C. D.

查看答案和解析>>

科目:高中数学 来源:2016届河南省郑州市高三第二次模拟考试文科数学试卷(解析版) 题型:填空题

已知正数x,y满足+2xy-3=0,则2x+y的最小值是___________.

查看答案和解析>>

科目:高中数学 来源:2016届河南省南阳、周口、驻马店等六市高三第一次联考理科数学试卷(解析版) 题型:解答题

已知点在直径的延长线上,点,的平分线且交于点,交于点

(1)求的度数;

(2)若,求的值.

查看答案和解析>>

同步练习册答案