精英家教网 > 高中数学 > 题目详情
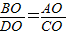
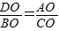
如图,在梯形ABCD中,AD∥BC,AC、BD相交于O,记△BCO、△CDO、△ADO的面积分别为S1、S2、S3,则的取值范围是   
【答案】分析:根据三角形相似的引理,我们易判断△AOD∽△COB,然后根据三角形相似的性质得到对应边成比例,而根据同高的两个三角形面积之比等于底边长之比,结合基本不等式即可求出的取值范围.
解答:解:∵AD∥BC,
∴△AOD∽△COB

==≥2=2
当且仅当时,即BO=DO时,即O为BD中点时取等;
又∵四边形ABCD为梯形,故O不可能为BD的中点,
>2
的取值范围(2,+∞)
故答案为:(2,+∞)
点评:本题考查的知识点是相似三角形的判定及基本不等式,其中根据梯形的性质,判断O不可能为BD的中点易被忽略而错解为[2,+∞)
练习册系列答案
相关习题

科目:高中数学 来源: 题型:

精英家教网如图,在梯形ABCD中,AB∥CD,AD=DC=CB=a,.∠ABC=60°,平面ACFE⊥平面ABCD,四边形ACFE是矩形,AE=a,点M在线段EF上.
(1)求证:BC⊥平面ACFE;
(2)当EM为何值时,AM∥平面BDF?证明你的结论;
(3)求二面角B-EF-D的平面角的余弦值.

查看答案和解析>>

科目:高中数学 来源: 题型:

精英家教网如图,在梯形ABCD中,AB∥CD,AD=DC=CB=1,∠ABC=60°,四边形ACFE为矩形,平面ACFE⊥平面ABCD,CF=1.
(Ⅰ)求证:BC⊥平面ACFE;
(Ⅱ)点M在线段EF上运动,设平面MAB与平面FCB所成二面角的平面角为θ(θ≤90°),试求cosθ的取值范围.

查看答案和解析>>

科目:高中数学 来源: 题型:

精英家教网如图,在梯形ABCD中,AD∥BC,BD与AC相交于O,过O的直线分别交AB、CD于E、F,且EF∥BC,若AD=12,BC=20,则EF=
 

查看答案和解析>>

科目:高中数学 来源: 题型:

如图,在梯形ABCD中,对角线AC和BD交于点O,E、F分别是AC和BD的中点,分别写出
(1)图中与
EF
CO
共线的向量;
(2)与
EA
相等的向量.

查看答案和解析>>

科目:高中数学 来源: 题型:

如图,在梯形△ABCD中,AB∥CD,AD=DC-=CB=1,么ABC-60.,四边形ACFE为矩形,平面ACFE上平面ABCD,CF=1.
(I)求证:BC⊥平面ACFE;
(II)若M为线段EF的中点,设平面MAB与平面FCB所成二面角的平面角为θ(θ≤90°),求cosθ.

查看答案和解析>>

同步练习册答案