精英家教网 > 高中数学 > 题目详情
记等比数列{an}的前n项和为Sn,已知S4=1,S8=17,求{an}的通项公式。
解:设{an}的公比为q,
由S4=1,S8=17知q≠1,
所以得, ①
, ②
由①、②式得,整理得,解得
所以q=2或q=-2,
将q=2代入①式得,所以
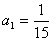
将q=-2代入①式得,所以
练习册系列答案
相关习题

科目:高中数学 来源: 题型:

记等比数列{an}的前n项和为Sn,若S3=2,S6=18,则
S10
S5
等于(  )
A、-3B、5C、-31D、33

查看答案和解析>>

科目:高中数学 来源: 题型:

记等比数列{an}的前n项和为Sn,若a5=2,则S6-S3的取值范围是
 

查看答案和解析>>

科目:高中数学 来源: 题型:

记等比数列{an}的前n项和为Sn,若a1=
1
2
a2=
3
2
,则S4=(  )

查看答案和解析>>

科目:高中数学 来源: 题型:

(2012•盐城一模)记等比数列{an}的前n项积为Tn(n∈N*),已知am-1am+1-2am=0,且T2m-1=128,则m=
4
4

查看答案和解析>>

科目:高中数学 来源: 题型:

(2012•河南模拟)记等比数列{an}的前n项和为Sn,已知S3=5,S6=15,则S9=(  )

查看答案和解析>>

同步练习册答案