精英家教网 > 高中数学 > 题目详情
已知椭圆的离心率,连接椭圆的四个顶点得到的菱形的面积为4.
(Ⅰ)求椭圆的方程;
(Ⅱ)设直线l与椭圆相交于不同的两点A,B,已知点A的坐标为(-a,0),
(ⅰ)若,求直线l的倾斜角;
(ⅱ)若点Q(0,y0)在线段AB的垂直平分线上,且,求y0的值。
解:(Ⅰ)由,得3a2=4c2,再由c2=a2-b2,解得a=2b,
由题意可知,即ab=2,
解方程组,得a=2,b=1,
所以椭圆的方程为
(Ⅱ)(ⅰ)由(Ⅰ)可知点A的坐标是(-2,0),
设点B的坐标为(x1,y1),直线l的斜率为k,则直线l的方程为y=k(x+2),
于是A,B两点的坐标满足方程组
消去y并整理,得(1+4k2)x2+16k2x+(16k2-4)=0,
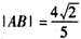
,得,从而
所以
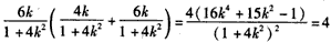
,得
整理得32k4-9k2-23=0,
即(k2-1)(32k2+23)=0,
解得k=±1,
所以直线l的倾斜角为
(ⅱ)设线段AB的中点为M,由(ⅰ)得M的坐标为
以下分两种情况:
(1)当k=0时,点B的坐标是(2,0),线段AB的垂直平分线为y轴,
于是
4,得
(2)当k≠0时;线段AB的垂直平分线方程为
令x=0,解得

整理得,

,故
所以
综上,
练习册系列答案
相关习题

科目:高中数学 来源: 题型:

(本小题满分13分)

已知椭圆的离心率为,以原点为圆心,椭圆的短半轴为半径的圆与直线相切.

(Ⅰ)求椭圆的方程;

(Ⅱ)设是椭圆上关于轴对称的任意两个不同的点,连结交椭圆于另一点,证明直线轴相交于定点

(Ⅲ)在(Ⅱ)的条件下,过点的直线与椭圆交于两点,求的取值范围.

查看答案和解析>>

科目:高中数学 来源: 题型:

已知椭圆的离心率为,以原点为圆心,椭圆的短半轴为半径的圆与直线相切.

(Ⅰ)求椭圆的方程;

(Ⅱ)设是椭圆上关于轴对称的任意两个不同的点,连结交椭圆于另一点,证明直线轴相交于定点

查看答案和解析>>

科目:高中数学 来源: 题型:

(本小题满分13分)

已知椭圆的离心率为,以原点为圆心,椭圆的短半轴为半径的圆与直线相切.

(Ⅰ)求椭圆的方程;

(Ⅱ)设是椭圆上关于轴对称的任意两个不同的点,连结交椭圆于另一点,求直线的斜率的取值范围;

(Ⅲ)在(Ⅱ)的条件下,证明直线轴相交于定点.

 

 

查看答案和解析>>

科目:高中数学 来源:四川省成都外国语学校2011-2012学年高三2月月考(数学文). 题型:解答题

 

已知椭圆的离心率为,以原点为圆心,椭圆的短半轴为半径的圆与直线相切.

(Ⅰ)求椭圆的方程;

(Ⅱ)设是椭圆上关于轴对称的任意两个不同的点,连结交椭圆于另一点,证明直线轴相交于定点

(Ⅲ)在(Ⅱ)的条件下,过点的直线与椭圆交于两点,求的取值范围.

 

 

 

查看答案和解析>>

科目:高中数学 来源:四川省成都外国语学校2011-2012学年高三2月月考(数学理) 题型:解答题

 

已知椭圆的离心率为,以原点为圆心,椭圆的短半轴为半径的圆与直线相切.

(Ⅰ)求椭圆的方程;

(Ⅱ)设是椭圆上关于轴对称的任意两个不同的点,连结交椭圆于另一点,证明直线轴相交于定点

(Ⅲ)在(Ⅱ)的条件下,过点的直线与椭圆交于两点,求的取值范围.

 

 

查看答案和解析>>

同步练习册答案