精英家教网 > 高中数学 > 题目详情
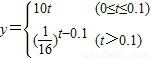
为了预防甲型H1N1流感,某学校对教室用某种药物进行消毒.已知药物释放过程中,室内每立方米空气中的含药量y(毫克)与时间t(小时)成正比;药物释放完毕后,y与t的函数关系式为(a为常数),如图所示,根据图中提供的信息,回答下列问题:
(1)求从药物释放开始,每立方米空气中的含药量y(毫克)与时间t(小时)之间的函数关系式.
(2)据测定,当空气中每立方米的含药量降低到0.25毫克以下时,学生方可进教室,那么从药物释放开始,至少需要经过多少小时后,学生才能回答教室.

【答案】分析:(1)利用函数图象,借助于待定系数法,求出函数解析法,进而发现函数性质;
(2)根据函数解析式,挖掘其性质解决实际问题.
解答:解:(1)由于图中直线的斜率为
所以图象中线段的方程为y=10t(0≤t≤0.1),
又点(0.1,1)在曲线上,所以
所以a=0.1,因此含药量y(毫克)与时间(小时)之间的函数关系式为
(5分)

(2)因为药物释放过程中室内药量一直在增加,即使药量小于0.25毫克,学生也不能进入教室,
所以,只能当药物释放完毕,室内药量减少到0.25毫克以下时学生方可进入教室,即<0.25,
解得t>0.6
所以从药物释放开始,至少需要经过0.6小时,学生才能回到教室.(10分)
点评:根据题意,利用函数的图象,求得分段函数的解析式,利用解析式进一步解决具体实际问题.
练习册系列答案
相关习题

科目:高中数学 来源: 题型:

精英家教网为了预防甲型H1N1流感,某学校对教室用某种药物进行消毒.已知药物释放过程中,室内每立方米空气中的含药量y(毫克)与时间t(小时)成正比;药物释放完毕后,y与t的函数关系式为y=(
116
)t-a
(a为常数),如图所示,根据图中提供的信息,回答下列问题:
(1)求从药物释放开始,每立方米空气中的含药量y(毫克)与时间t(小时)之间的函数关系式.
(2)据测定,当空气中每立方米的含药量降低到0.25毫克以下时,学生方可进教室,那么从药物释放开始,至少需要经过多少小时后,学生才能回答教室.

查看答案和解析>>

科目:高中数学 来源:2011-2012学年湖北省襄阳市保康一中高一(上)期中数学试卷(解析版) 题型:解答题

为了预防甲型H1N1流感,某学校对教室用某种药物进行消毒.已知药物释放过程中,室内每立方米空气中的含药量y(毫克)与时间t(小时)成正比;药物释放完毕后,y与t的函数关系式为(a为常数),如图所示,根据图中提供的信息,回答下列问题:
(1)求从药物释放开始,每立方米空气中的含药量y(毫克)与时间t(小时)之间的函数关系式.
(2)据测定,当空气中每立方米的含药量降低到0.25毫克以下时,学生方可进教室,那么从药物释放开始,至少需要经过多少小时后,学生才能回答教室.

查看答案和解析>>

科目:高中数学 来源:2012-2013学年河北省邢台一中高一(上)第三次月考数学试卷(解析版) 题型:解答题

为了预防甲型H1N1流感,某学校对教室用某种药物进行消毒.已知药物释放过程中,室内每立方米空气中的含药量y(毫克)与时间t(小时)成正比;药物释放完毕后,y与t的函数关系式为(a为常数),如图所示,根据图中提供的信息,回答下列问题:
(1)求从药物释放开始,每立方米空气中的含药量y(毫克)与时间t(小时)之间的函数关系式.
(2)据测定,当空气中每立方米的含药量降低到0.25毫克以下时,学生方可进教室,那么从药物释放开始,至少需要经过多少小时后,学生才能回答教室.

查看答案和解析>>

科目:高中数学 来源:2011-2012学年广东省广州六中高一(上)期中数学试卷(解析版) 题型:解答题

为了预防甲型H1N1流感,某学校对教室用某种药物进行消毒.已知药物释放过程中,室内每立方米空气中的含药量y(毫克)与时间t(小时)成正比;药物释放完毕后,y与t的函数关系式为(a为常数),如图所示,根据图中提供的信息,回答下列问题:
(1)求从药物释放开始,每立方米空气中的含药量y(毫克)与时间t(小时)之间的函数关系式.
(2)据测定,当空气中每立方米的含药量降低到0.25毫克以下时,学生方可进教室,那么从药物释放开始,至少需要经过多少小时后,学生才能回答教室.

查看答案和解析>>

科目:高中数学 来源:2009-2010学年福建省厦门市第六中学高一(上)期中数学试卷(解析版) 题型:解答题

为了预防甲型H1N1流感,某学校对教室用某种药物进行消毒.已知药物释放过程中,室内每立方米空气中的含药量y(毫克)与时间t(小时)成正比;药物释放完毕后,y与t的函数关系式为(a为常数),如图所示,根据图中提供的信息,回答下列问题:
(1)求从药物释放开始,每立方米空气中的含药量y(毫克)与时间t(小时)之间的函数关系式.
(2)据测定,当空气中每立方米的含药量降低到0.25毫克以下时,学生方可进教室,那么从药物释放开始,至少需要经过多少小时后,学生才能回答教室.

查看答案和解析>>

同步练习册答案