精英家教网 > 高中数学 > 题目详情

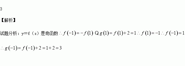
已知函数y=f(x)是奇函数,若g(x)=f(x)+2,且g(1)=1,则g(-1)=________.

练习册系列答案
相关习题

科目:高中数学 来源:2015-2016学年山东省高一10月月考数学试卷(解析版) 题型:选择题

函数的定义域为( )

A.

B.

C.

D.

查看答案和解析>>

科目:高中数学 来源:2015-2016学年四川省德阳市高二10月月考数学试卷(解析版) 题型:选择题

已知集合,则=( )

A. B. C. D.

查看答案和解析>>

科目:高中数学 来源:2015-2016学年江苏省泰州市姜堰区高二上学期期中考试理科数学试卷(解析版) 题型:解答题

(本题满分16分)

已知直线为函数的图像,曲线C为二次函数的图像,直线与曲线C交于不同两点A,B

(I)当时,求弦AB的长;

(II)求线段AB中点的轨迹方程;

(III)试利用抛物线的定义证明:曲线C为抛物线.

查看答案和解析>>

科目:高中数学 来源:2015-2016学年湖北省黄石市高一10月月考数学试卷(解析版) 题型:填空题

若函数f(x)=(x+a)(bx+2a)(常数a,b∈R)是偶函数,它的值域为(-∞,4],则该函数的解析式f(x)=_____________.

查看答案和解析>>

科目:高中数学 来源:2015-2016学年河北省高二10月月考文科数学试卷(解析版) 题型:解答题

某高校在2012年的自主招生考试成绩中随机抽取100名学生的笔试成绩,按成绩分组,得到的频率分布表如下图所示.

(I)请先求出频率分布表中①、②位置相应数据,再在答题纸上完成下列频率分布直方图;

(Ⅱ)为了能选拔出最优秀的学生,高校决定在笔试成绩高的第3、4、5组中用分层抽样抽取6名学生进入第二轮面试,求第3、4、5组每组各抽取多少名学生进入第二轮面试?

(Ⅲ)在(2)的前提下,学校决定在6名学生中随机抽取2名学生接受A考官的面试,求:第4组至少有一名学生被考官A面试的概率?

查看答案和解析>>

科目:高中数学 来源:2015-2016学年河北省唐山市高一10月月考数学试卷(解析版) 题型:填空题

函数的单调递增区间是_____________

查看答案和解析>>

科目:高中数学 来源:2015-2016学年广东省高一上第一次月考数学试卷(解析版) 题型:填空题

函数的定义域为_______________

查看答案和解析>>

科目:高中数学 来源:2016届云南省高三上学期第一次月考理科数学试卷(解析版) 题型:选择题

在等差数列中,,则数列的前项和( )

A. B. C. D.

查看答案和解析>>

同步练习册答案