精英家教网 > 高中数学 > 题目详情
已知函数是R上的偶函数.
(1)求a的值;
(2)证明函数f(x)在[0,+∞)上是增函数.
【答案】分析:(1)根据f(x)是偶函数,可得f(-x)=f(x),即,由此求得a的值.
(2)由(1)得,设0≤x1<x2,计算(x1)-f(x2)=-()=<0,可得函数f(x)
在[0,+∞)上是增函数.
解答:解:(1)∵f(x)是偶函数,∴f(-x)=f(x),即,…(2分)
整理得,得,又a>0,∴a=1.…(6分)
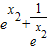
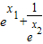
(2)由(1)得,设0≤x1<x2
可得f(x1)-f(x2)=-()=
由题设可得,<0, 1>0,>0,
∴f(x1)-f(x2)<0,故函数f(x)在[0,+∞)上是增函数.
点评:本题主要考查函数的单调性和奇偶性的应用,属于基础题.
练习册系列答案
相关习题

科目:高中数学 来源: 题型:

已知f(x)是定义在R上的不恒为零的函数,且对于任意实数a,b都有f(a•b)=af(b)+bf(a),则(  )

查看答案和解析>>

科目:高中数学 来源: 题型:单选题

已知f(x)是定义在R上的不恒为零的函数,且对于任意实数a,b都有f(a•b)=af(b)+bf(a),则


  1. A.
    f(x)是奇函数,但不是偶函数
  2. B.
    f(x)是偶函数,但不是奇函数
  3. C.
    f(x)既是奇函数,又是偶函数
  4. D.
    f(x)既非奇函数,又非偶函

查看答案和解析>>

同步练习册答案