精英家教网 > 高中数学 > 题目详情

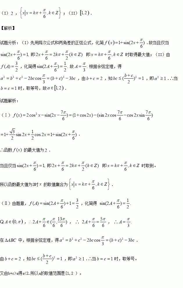
已知函数.

(Ⅰ)求函数的最大值,并写出取最大值时的取值集合;

(Ⅱ)已知中,角A,B,C的对边分别为a,b,c若b+c=2。求实数a的取值范围.

练习册系列答案
相关习题

科目:高中数学 来源:2016-2017学年河北枣强中学高一上学期月考一数学试卷(解析版) 题型:解答题

已知函数.

(1)求的值;

(2)画出这个函数的图象;

(3)求的最大值.

查看答案和解析>>

科目:高中数学 来源:2017届河北衡水中学高三上学期第二次调研数学(理)试卷(解析版) 题型:选择题

的共轭复数,若为虚数单位),则( )

A. B. C. D.

查看答案和解析>>

科目:高中数学 来源:2017届河北衡水中学高三上学期第二次调研数学(文)试卷(解析版) 题型:选择题

已知数列的前项和为,满足,则数列的通项( )

A. B. C. D.

查看答案和解析>>

科目:高中数学 来源:2017届河北衡水中学高三上学期第二次调研数学(文)试卷(解析版) 题型:选择题

已知集合,则( )

A. B. C. D.

查看答案和解析>>

科目:高中数学 来源:2017届湖北黄冈中学高三上学期周末测试9.10数学试卷(解析版) 题型:填空题

已知,则______

查看答案和解析>>

科目:高中数学 来源:2017届湖北黄冈中学高三上学期周末测试9.10数学试卷(解析版) 题型:选择题

若函数在区间上为减函数,则的取值范围是( )

A. B.

C. D.

查看答案和解析>>

科目:高中数学 来源:2017届湖北黄冈中学高三上学期周末测试数学试卷(解析版) 题型:选择题

(2013浙江)设△ABC,P0是边AB上一定点,满足,且对于边AB上任一点P,恒有,则( )

A.∠ABC=90° B.∠BAC=90° C.AB=AC D.AC=BC

查看答案和解析>>

科目:高中数学 来源:2016届新疆乌鲁木齐八一中学高三上学期月考一数学(理)试卷(解析版) 题型:填空题

已知为实数,复数为纯虚数,则

查看答案和解析>>

同步练习册答案