精英家教网 > 高中数学 > 题目详情

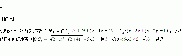
己知圆,圆,圆与圆的位置关系为( )

A.外切 B.内切 C.相交 D.相离

练习册系列答案
相关习题

科目:高中数学 来源:2015-2016学年广东省高二上学期期中考试理科数学试卷(解析版) 题型:选择题

为圆心的圆与直线相切于点,则圆的方程是( )

A. B.

C. D.

查看答案和解析>>

科目:高中数学 来源:2016届黑龙江哈尔滨六中高三上期中理科数学试卷(解析版) 题型:填空题

查看答案和解析>>

科目:高中数学 来源:2014-2015学年浙江宁波效实中学高三上学期期中文科数学试卷(解析版) 题型:填空题

向量,①若,则

②若的夹角为,则

查看答案和解析>>

科目:高中数学 来源:2014-2015学年浙江宁波效实中学高三上学期期中理科数学试卷(解析版) 题型:选择题

是三个不重合的平面,是两条不重合的直线,则下列说法正确的是( )

A.若,则

B.若,则

C.若,则

D.若,则

查看答案和解析>>

科目:高中数学 来源:2015-2016学年四川成都七中高二10月段考理科数学试卷(解析版) 题型:选择题

已知变量满足约束条件,则的最大值为( )

A. B. C. D.

查看答案和解析>>

科目:高中数学 来源:2015-2016学年江苏省高一上期中考试数学试卷(解析版) 题型:解答题

(本题满分16分)已知二次函数满足

(1)求函数的解析式;

(2)令

①若函数上是单调函数,求实数的取值范围;

②求函数的最小值.

查看答案和解析>>

科目:高中数学 来源:2014-2015学年浙江省嵊州市高一竞赛数学试卷(解析版) 题型:解答题

(本小题满分10分)

在△中,角所对应的边分别为,已知

,且

(Ⅰ)当,且△的面积时,求边的值;

(Ⅱ)当时,求角的值.

查看答案和解析>>

科目:高中数学 来源:2014-2015学年山西省高二下学期期中理科数学试卷(解析版) 题型:选择题

已知(n∈N*),则n等于( )

A.14 B.12 C.13 D.15

查看答案和解析>>

同步练习册答案