精英家教网 > 高中数学 > 题目详情

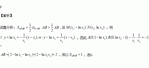
设直线分别是函数图象上在点处的切线,已知互相垂直,且分别与轴相交于点,点是函数图象上的任意一点,则的面积的取值范围是( )

A. B. C. D.

练习册系列答案
相关习题

科目:高中数学 来源:2017届河南濮阳第一高级中学高三上学期检测二数学(理)试卷(解析版) 题型:填空题

若“”是“函数的图象不过第三象限”的必要不充分条件,则实数能取的最大整数为__________.

查看答案和解析>>

科目:高中数学 来源:2015-2016内蒙古高一下期末数学试卷(解析版) 题型:解答题

如图,在三棱锥中,平面平面为等边三角形,分别为的中点.

(Ⅰ)求证:平面

(Ⅱ)求证:平面平面

(Ⅲ)求三棱锥的体积.

查看答案和解析>>

科目:高中数学 来源:2015-2016内蒙古高一下期末数学试卷(解析版) 题型:选择题

如果a<b<0,那么下列不等式成立的是( )

A. B.ab<b2

C.﹣ab<﹣a2 D.

查看答案和解析>>

科目:高中数学 来源:2017届山东肥城市高三上学期升级统测数学(文)试卷(解析版) 题型:填空题

已知函数和函数,若的图象有且只有个交点,则的取值范围是

查看答案和解析>>

科目:高中数学 来源:2017届山东肥城市高三上学期升级统测数学(文)试卷(解析版) 题型:选择题

已知是实数,则“”是“直线与圆”相切的( )

A.充要条件 B.充分不必要条件

C.必要不充分条件 D.即不充分也不必要条件

查看答案和解析>>

科目:高中数学 来源:2017届山东肥城市高三上学期升级统测数学(理)试卷(解析版) 题型:解答题

某公司采用招考方式引进人才,规定必须在,三个测试点中任意选取两个进行测试,若在这两个测试点都测试合格,则可参加面试,否则不被录用,已知考生在每测试个点测试结果互不影响,若考生小李和小王一起前来参加招考,小李在测试点测试合格的概率分别为,小王在上述三个测试点测试合格的概率都是.

(1)问小李选择哪两个测试点测试才能使得可以参加面试的可能性最大?请说明理由;

(2)假设小李选择测试点进行测试,小王选择测试点进行测试,记为两人在各测试点测试合格的测试点个数之和,求随机变量的分布列及数学期望.

查看答案和解析>>

科目:高中数学 来源:2017届山东肥城市高三上学期升级统测数学(理)试卷(解析版) 题型:选择题

设集合,则( )

A. B. C. D.

查看答案和解析>>

科目:高中数学 来源:2015-2016内蒙古高二上第二次月考文科数学卷(解析版) 题型:选择题

阅读下边的程序框图,运行相应的程序,则输出的值为( )

A 2 B 3 C 4 D 5

查看答案和解析>>

同步练习册答案