精英家教网 > 高中数学 > 题目详情
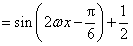
已知函数(ω>0)的最小正周期为π。
(1)求ω的值;
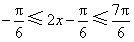
(2)求函数f(x)在区间上的取值范围。
解:(1)


因为函数f(x)的最小正周期为π,且
所以,解得
(2)由(1)得


所以
因此
即f(x)的取值范围为
练习册系列答案
相关习题

科目:高中数学 来源:2008年上海市崇明县高考数学一模试卷(解析版) 题型:选择题

已知函数(-1≤x≤0)的反函数是( )
A.
B.
C.
D.

查看答案和解析>>

科目:高中数学 来源:2014届江西南昌市高二下学期期末考试文科数学试卷(解析版) 题型:填空题

已知函数

①若a>0,则的定义域是          ;

② 若在区间上是减函数,则实数a的取值范围是            .

 

查看答案和解析>>

科目:高中数学 来源:2010年福建省四地六校联考高一第三次月考数学卷 题型:解答题

(本题满分13分)

(1)已知角终边经过点P(-4,3),求的值?

(2)已知函数,(b>0)在的最大值为,最小值为-,求2a+b的值?

 

查看答案和解析>>

科目:高中数学 来源: 题型:解答题

已知函数数学公式,(ω>0)的最小正周期为4π.
(1)若函数y=g(x)与y=f(x)的图象关于直线x=π对称,求y=g(x)的单调递增区间.
(2)在△ABC中角A,B,C,的对边分别是a,b,c满足(2a-c)cosB=b•cosC,求函数f(A)的取值范围.

查看答案和解析>>

科目:高中数学 来源:2012-2013学年宁夏银川一中高三(上)第二次月考数学试卷(理科)(解析版) 题型:解答题

已知函数(w>0)的图象的两相邻对称轴间的距离为
(1)求w值;
(2)若,且f(x)=m有且仅有一个实根,求实数m的值.

查看答案和解析>>

同步练习册答案