精英家教网 > 高中数学 > 题目详情
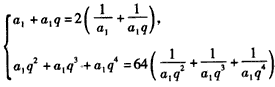
已知{an}是各项均为正数的等比数列,且
(Ⅰ)求{an}的通项公式;
(Ⅱ)设,求数列{bn}的前n项和Tn
解:(Ⅰ)设公比为q,则an=a1qn-1,由已知有

化简,得
又a1>0,故q=2,a1=1,
所以
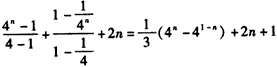
(Ⅱ)由(Ⅰ)知,2,
因此,
练习册系列答案
相关习题

科目:高中数学 来源: 题型:

已知{an}是各项均为正数的等差数列,lga1、lga2、lga4成等差数列.又bn=
1
a2n
,n=1,2,3,….
(Ⅰ)证明{bn}为等比数列;
(Ⅱ)如果无穷等比数列{bn}各项的和S=
1
3
,求数列{an}的首项a1和公差d.
(注:无穷数列各项的和即当n→∞时数列前项和的极限)

查看答案和解析>>

科目:高中数学 来源: 题型:

已知{an}是各项均为正数的等差数列,lga1,lga2,lga4成等差数列.又bn=
1
a2n
,n=1,2,3,….
(Ⅰ)证明{bn}为等比数列;
(Ⅱ)如果数列{bn}前3项的和等于
7
24
,求数列{an}的首项a1和公差d.

查看答案和解析>>

科目:高中数学 来源: 题型:

已知{an}是各项均为正数的等比数列a1+a2=2(
1
a1
+
1
a2
),a3+a4+a5=64(
1
a3
+
1
a4
+
1
a5

(Ⅰ)求{an}的通项公式;
(Ⅱ)设bn=(an+
1
an
2,求数列{bn}的前n项和Tn

查看答案和解析>>

科目:高中数学 来源: 题型:

已知{an}是各项均为正数的等比数列,且a1+a2=2(
1
a1
+
1
a2
),a3+a4=32(
1
a3
+
1
a4
)

(Ⅰ)求{an}的通项公式;
(Ⅱ)设bn=an2+log2an,求数列{bn}的前n项和Tn

查看答案和解析>>

科目:高中数学 来源: 题型:

已知{an}是各项均为正数的等比数列,且a1与a5的等比中项为2,则a2+a4的最小值等于
 

查看答案和解析>>

同步练习册答案