精英家教网 > 高中数学 > 题目详情
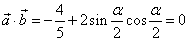
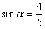
已知向量与向量垂直,其中α为第二象限角.
(1)求tanα的值;
(2)在△ABC中,a,b,c分别为∠A,∠B,∠C所对的边,若b2+c2-a2=bc,求tan(α+A)的值.
解:(1)
,即
∵α为第二象限角,

(2) 在△ABC中,



练习册系列答案
相关习题

科目:高中数学 来源:2012-2013学年山东省潍坊市奎文一中高三(上)12月月考数学试卷(文科)(解析版) 题型:填空题

给出以下五个命题:
①命题“?x∈R,x2+x+1>0”的否定是:“?x∈R,x2+x+1<0”.
②已知函数f(x)=k•cosx的图象经过点P(,1),则函数图象上过点P的切线斜率等于
③a=1是直线y=ax+1和直线y=(a-2)x-1垂直的充要条件.
④函数在区间(0,1)上存在零点.
⑤已知向量与向量的夹角为锐角,那么实数m的取值范围是(
其中正确命题的序号是   

查看答案和解析>>

科目:高中数学 来源:2013学年安徽省芜湖市高考数学二模试卷(文科)(解析版) 题型:填空题

给出以下五个命题:
①命题“?x∈R,x2+x+1>0”的否定是:“?x∈R,x2+x+1<0”.
②已知函数f(x)=k•cosx的图象经过点P(,1),则函数图象上过点P的切线斜率等于
③a=1是直线y=ax+1和直线y=(a-2)x-1垂直的充要条件.
④函数在区间(0,1)上存在零点.
⑤已知向量与向量的夹角为锐角,那么实数m的取值范围是(
其中正确命题的序号是   

查看答案和解析>>

科目:高中数学 来源:2010-2011学年深圳市高三第一次调研考试数学文卷 题型:解答题

(本小题满分14分)

已知向量与向量垂直,其中为第二象限角.

(1)求的值;

(2)在中,分别为所对的边,若,求的值.

 

 

查看答案和解析>>

科目:高中数学 来源:2010-2011学年深圳市高三第一次调研考试数学文卷 题型:解答题

(本小题满分14分)

已知向量与向量垂直,其中为第二象限角.

(1)求的值;

(2)在中,分别为所对的边,若,求的值.

 

 

查看答案和解析>>

科目:高中数学 来源: 题型:

(本小题满分14分)

已知向量与向量垂直,其中为第二象限角.

(1)求的值;

(2)在中,分别为所对的边,若,求的值.

查看答案和解析>>

同步练习册答案