精英家教网 > 高中数学 > 题目详情
选做题
以直角坐标系的原点O为极点,x轴的正半轴为极轴.已知点P的直角坐标为(1,﹣5),点M的极坐标为若直线l过点P,且倾斜角为,圆C以M为圆心、4为半径.
(I)求直线l的参数方程和圆C的极坐标方程;
(II)试判定直线l和圆C的位置关系.
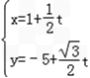
解(I)直线l的参数方程为 ,(t为参数)
圆C的极坐标方程为ρ=8sinθ.
(II)因为 对应的直角坐标为(0,4)
直线l化为普通方程为 
圆心到 
所以直线l与圆C相离.
练习册系列答案
相关习题

科目:高中数学 来源: 题型:

(请在下列三题中任选一题作答,如果多做,则按所做的第一题评分)
A.(不等式选做题)若不等式a≥|x+1|+|x-2|存在实数解,则实数a的取值范围是
 

B.(几何证明选做题)如图,∠B=∠D,AE⊥BC,∠ACD=90°,且AB=6,AC=4,AD=12,则AE=
 

精英家教网

C.(坐标系与参数方程选做题)直角坐标系xoy中,以原点为极点,x轴的正半轴为极轴建极坐标系,设点A,B分别在曲线C1
x=3+cos θ
y=4+sin θ
 (θ为参数)和曲线C2:p=1上,则|AB|的最小值为
 

查看答案和解析>>

科目:高中数学 来源: 题型:

(选做题在直角坐标系xOy中,曲线C的参数方程为
x=2+t
y=t+1
(t
为参数),曲线P在以该直角坐标系的原点O为极点,x轴的正半轴为极轴的极坐标系下的方程为ρ2-4ρcosθ+3=0.
(1)求曲线C的普通方程和曲线P的直角坐标方程;
(2)设曲线C和曲线P的交点为A、B,求|AB|.

查看答案和解析>>

科目:高中数学 来源: 题型:

(2012•吉安二模)(1)(坐标系与参数方程选做题)直角坐标系x0y中,以原点为极点,x轴的正半轴为极轴建极坐标系,设点A,B分别在曲线C1
x=3+cosθ
y=sinθ
(θ为参数)和曲线C2:ρ=2sinθ上,则|AB|的最小值为
10
-2
10
-2

(2)(不等式选讲选做题)若关于x的不等式|x+l|+|x-m|>4的解集为R,则实数m的取值范围是
(-∞,-5)∪(3,+∞)
(-∞,-5)∪(3,+∞)

查看答案和解析>>

科目:高中数学 来源: 题型:

(选做题)直角坐标系xOy中,直线l的参数方程为
x=4t+2
y=3-3t
,(t是参数),在以O为极点,x轴的正半轴为极轴的极坐标系中,曲线C的极坐标方程为ρ=2cosθ.
(Ⅰ)求直线l的普通方程及曲线C的直角坐标方程;
(Ⅱ)若P与Q分别是直线l与曲线C上的动点,求|PQ|的最小值.

查看答案和解析>>

同步练习册答案