精英家教网 > 高中数学 > 题目详情

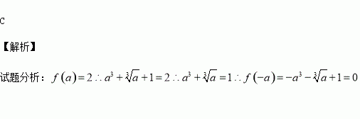
,若,则的值为( )

A.3 B.-1 C.0 D.-2

练习册系列答案
相关习题

科目:高中数学 来源:2015-2016学年广东东华高中高一上学期前段段考数学试卷(解析版) 题型:选择题

函数 的奇偶性是( )

A.奇函数

B.偶函数

C.既不是奇函数也不是偶函数

D.既是奇函数也是偶函数

查看答案和解析>>

科目:高中数学 来源:2015-2016学年河北省高一10月月考数学试卷(解析版) 题型:填空题

函数y=的定义域为________(用区间表示)

查看答案和解析>>

科目:高中数学 来源:2015-2016学年广东省英德市高一上学期第一次月考数学试卷(解析版) 题型:选择题

如果函数f(x)在[a,b]上是增函数,对于任意的x1,x2∈[a,b](x1≠x2),下列结论不正确的是( )

A.>0

B.f(a)<f(x1)<f(x2)<f(b)

C.(x1-x2) [f(x1)-f(x2)]>0

D.>0

查看答案和解析>>

科目:高中数学 来源:2015-2016学年广东省普宁市高二上期中考试理科数学试卷(解析版) 题型:选择题

已知等差数列{an}满足,则它的前10项和S10=( )

A.23 B.95 C.135 D.138

查看答案和解析>>

科目:高中数学 来源:2015-2016学年广东省高一上学期期中考试数学试卷(解析版) 题型:选择题

已知A、B两地相距150千米,某人开汽车以60千米/小时的速度从A地到达B地,在B地停留1小时后再以50千米/小时的速度返回A地,把汽车离开A地的距离x表示为时间t(小时)的函数表达式是( )

A.x=60t

B.x=60t+50

C.x=

D.x=

查看答案和解析>>

科目:高中数学 来源:2015-2016学年广东省高二上学期期中考试文科数学试卷(解析版) 题型:选择题

抛2颗骰子,则向上点数不同的概率为( )

A. B. C. D.

查看答案和解析>>

科目:高中数学 来源:2015-2016学年安徽省阜阳市高二上第一次调研考文科数学试卷(解析版) 题型:选择题

对于任意实数,命题①若;②若,则;③若,则;④若,则 ;⑤若,则。其中正确的个数是( )

A.1 B.2 C.3 D.4

查看答案和解析>>

科目:高中数学 来源:2016届福建省高三第一次月考理科数学试卷(解析版) 题型:解答题

函数的定义域为A,定义域为B.

(1)求A; (2)若, 求实数的取值范围.

查看答案和解析>>

同步练习册答案