精英家教网 > 高中数学 > 题目详情

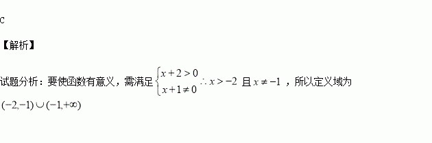
函数的定义域是( )

A.

B.

C.

D.

练习册系列答案
相关习题

科目:高中数学 来源:2016届浙江宁波效实中学高三上期中考试文科数学试卷(解析版) 题型:选择题

一个几何体的三视图如图所示,则该几何体的体积是( )

A.64 B.72 C.80 D.112

查看答案和解析>>

科目:高中数学 来源:2015-2016学年陕西省高二上学期期中考试数学试卷(解析版) 题型:填空题

在△ABC中,B=135°,C=15°,a=5,则此三角形的最大边长为

查看答案和解析>>

科目:高中数学 来源:2015-2016学年辽宁省大连市高一上学期期中考试数学试卷(解析版) 题型:解答题

,求的值

查看答案和解析>>

科目:高中数学 来源:2015-2016学年河南省英文学校高一上学期期中考试数学试卷(解析版) 题型:解答题

(本小题满分12分)已知函数

(1)求函数的定义域;

(2)若函数的最小值为―4,求的值.

查看答案和解析>>

科目:高中数学 来源:2015-2016学年广东省英德市高二上学期第一次月考理科数学试卷(解析版) 题型:选择题

若a>b,ab≠0,则下列不等式恒成立的( )

A.< B.<1 C.2a>2b D.lg(b-a)<0

查看答案和解析>>

科目:高中数学 来源:2015-2016学年甘肃省定西市高一上学期第一次月考数学试卷(解析版) 题型:选择题

函数在区间[2,5)上的最大值、最小值别是( )

A.,4

B.无最大值,最小值7

C.4,0

D.最大值4,无最小值

查看答案和解析>>

科目:高中数学 来源:2016届浙江省高三10月月考文科数学试卷(解析版) 题型:解答题

(本小题满分15分)设二次函数满足下列条件:

①当时,其最小值为0,且成立;

②当时,恒成立.

(Ⅰ)求的值并求的解析式;

(Ⅱ)求最大的实数,使得存在,只要当时,就有成立.

查看答案和解析>>

科目:高中数学 来源:2015-2016学年河北省高一上学期第一次月考数学试卷(解析版) 题型:选择题

满足的集合的个数为( )

(A)6 (B) 7 (C) 8 (D)9

查看答案和解析>>

同步练习册答案