精英家教网 > 高中数学 > 题目详情

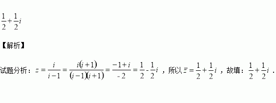
复数的共轭复数是_____________.

练习册系列答案
相关习题

科目:高中数学 来源:2015-2016学年宁夏高一下第二次月考数学试卷(解析版) 题型:解答题

已知函数

(1)求的最小正周期.

(2)求在区间上的最小值.

查看答案和解析>>

科目:高中数学 来源:2015-2016学年四川省高二下期中理科数学试卷(解析版) 题型:解答题

在一个盒子中装有6枚圆珠笔,其中4枚一等品,2枚二等品,从中依次抽取2枚,求下列事件的概率.

(1)恰有一枚一等品;

(2)有二等品.

查看答案和解析>>

科目:高中数学 来源:2015-2016学年四川省高二下期中理科数学试卷(解析版) 题型:选择题

双曲线的离心率为( )

A. B. C.2 D.

查看答案和解析>>

科目:高中数学 来源:2015-2016学年西藏日喀则一中高二4月月考文科数学试卷(解析版) 题型:解答题

为了解某班学生喜爱打篮球是否与性别有关,对本班50人进行了问卷调查得到了如下列表:

已知在全班50人中随机抽取1人,抽到喜爱打篮球的学生的概率为.

(1)请将上表补充完整(不用写计算过程);

(2)能否有99.5%的把握认为喜爱打篮球与性别有关?说明你的理由.

下面的临界值表供参考:

(参考公式:,其中

查看答案和解析>>

科目:高中数学 来源:2015-2016学年西藏日喀则一中高二4月月考文科数学试卷(解析版) 题型:选择题

程序框图输出的含义是( )

A.输出的是原来的,输出的是原来的,输出的是原来的

B.输出的是原来的,输出的是新的,输出的是原来的

C.输出的是原来的,输出的是新的,输出的是原来的

D.输出的均等于

查看答案和解析>>

科目:高中数学 来源:2015-2016学年西藏日喀则一中高二4月月考文科数学试卷(解析版) 题型:选择题

复数的模为1,则的值为( )

A. B. C. D.

查看答案和解析>>

科目:高中数学 来源:2015-2016学年河北省高二3月月考文科数学试卷(解析版) 题型:选择题

在一次实验中,测得的四组值分别是,则之间的回归直线方程为( )

A. B. C. D.

查看答案和解析>>

科目:高中数学 来源:2015-2016学年浙江省高一下学期期中数学试卷(解析版) 题型:选择题

直线分别交轴和轴于两点,是直线上的一点,要使最小,则点的坐标是( )

A. B. C. D.

查看答案和解析>>

同步练习册答案